Flervariabelanalys: enkel dubbelintegralsubstitution
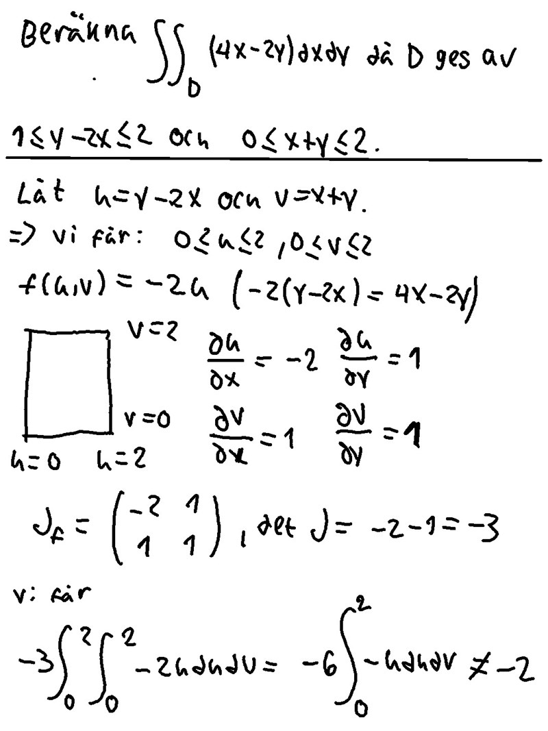
Hej! Jag försöker förstå mig på variabelsubstitution i dubbelintegraler. Jag har denna inledande uppgift som jag sitter med. Facit säger att rätt svar är . Vad har jag gjort för fel?
Har även en snabb fråga angående (såg att jag vara inkonsekvent i min beteckning och kallat den på ett ställe, det var inte meningen!).
Ska man sätta absolutbelopp på skalfaktorn?
Formeln är
= .
Obs beloppstecken kring jacobideterminanten.
.
Notera att vad du beräknar är
= -3.
Så du skulle multiplicera med 1/3 istället för -3.
Frågor på det?
Absolutbeloppet hänger jag med på.
Bara för att vara säker på att jag hänger med på varför man ska dividera. Är det för att skalfaktorn anger hur transformationen från skalas, men eftersom vi nu integrerar med avseende på respektive med avseende på så blir det åt "andra hållet"?
Nja, formeln för variabelbyte anväder absolutbeloppet av determinanten d(x, y)/d(u, v). Jag kommer tyvärr inte i håg beviset för detta. Kolla boken.
Du beräknar determinanten d(u, v)/d(x, y).
Det finns dock ett enkelt samband mellan de två determinanterna, nämligen
= 1. Det är det som man kan utnyttja.
PATENTERAMERA skrev:Nja, formeln för variabelbyte anväder absolutbeloppet av determinanten d(x, y)/d(u, v). Jag kommer tyvärr inte i håg beviset för detta. Kolla boken.
Du beräknar determinanten d(u, v)/d(x, y).
Det finns dock ett enkelt samband mellan de två determinanterna, nämligen
= 1. Det är det som man kan utnyttja.
Hmm okej, tack så mycket! Jag inser att det jag gjort är tolkat formeln fel. Jag tolkade det som att den Jacobideterminanten som skulle sättas in i formeln är .
Jag måste räkna på fler uppgifter för att applicera detta i verkligheten, men jag förstår nu iallafall hur formeln fungerar! Och jag förstår hur man räknar ut integralen jag frågade om. Tusen tack!