Flervariabelanalys: implicit derivering
Hej! Har en fråga om följande uppgift. Ser att det finns en annan tråd om den men det är om en annan fråga. Senedan,pluggakutensposteditorharkraschatochlåtermiginteläggainmellanrum.

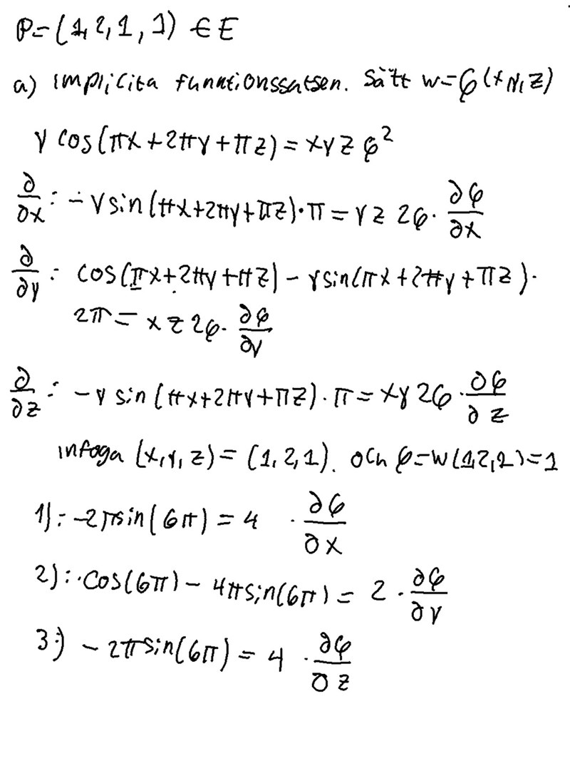
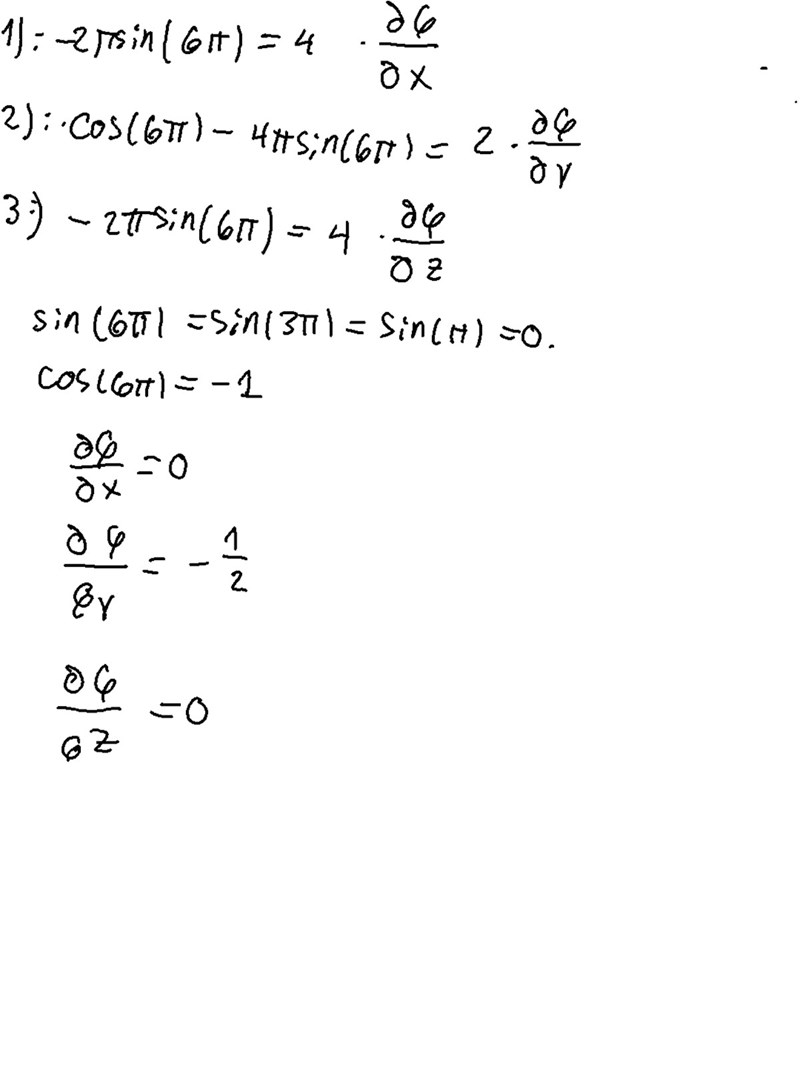
Hmm, jag kan bokstavligt talat inte skriva mellanrum när jag försöker redigera OP, men som ni ser funkar det här nere. Jag försökte lösa uppgiften med implicit derivering, men får att och har svårt att se hur man skulle kunna få något annat. Sorry för lite halvt plottrig lösning men jag hoppas det går att förstå vad jag gjort. Problemet är att jag får i -derivatan och får den därav till , men det gör inte facit.


Du har missat deriveringen i högerledet, xyzw². Både xyz och w² beror på x, så du måste använda produktregeln när du deriverar.
d/dx(xyzw²) = d/dx(xyz)*w²+ xyz*d/dx(w²)
jamolettin skrev:Du har missat deriveringen i högerledet, xyzw². Både xyz och w² beror på x, så du måste använda produktregeln när du deriverar.
d/dx(xyzw²) = d/dx(xyz)*w²+ xyz*d/dx(w²)
Ah, det har du så rätt i! Tack. Jag ska kika imorgon och se om det ger mig rätt svar. Isåfall markerar jag denna tråd som löst.
coffeshot skrev:jamolettin skrev:Du har missat deriveringen i högerledet, xyzw². Både xyz och w² beror på x, så du måste använda produktregeln när du deriverar.
d/dx(xyzw²) = d/dx(xyz)*w²+ xyz*d/dx(w²)
Ah, det har du så rätt i! Tack. Jag ska kika imorgon och se om det ger mig rätt svar. Isåfall markerar jag denna tråd som löst.
Jag får rätt svar då! Tack för all hjälp.