2
svar
144
visningar
Ironmann behöver inte mer hjälp
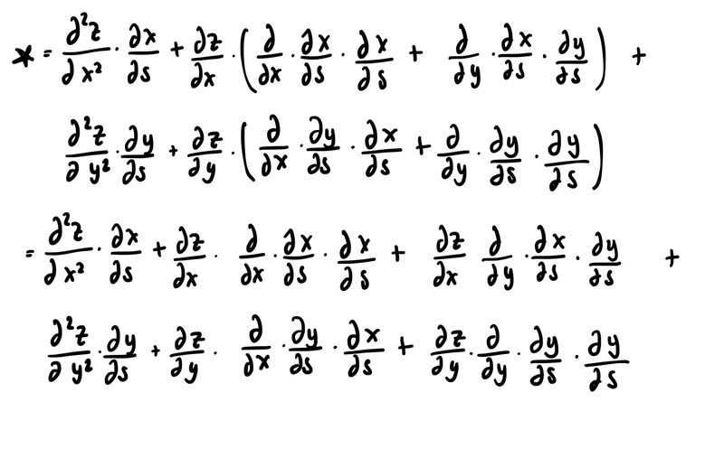
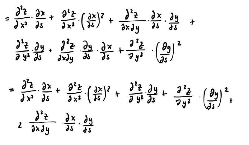
flervariabelanalys, kedjeregeln andra derivatan
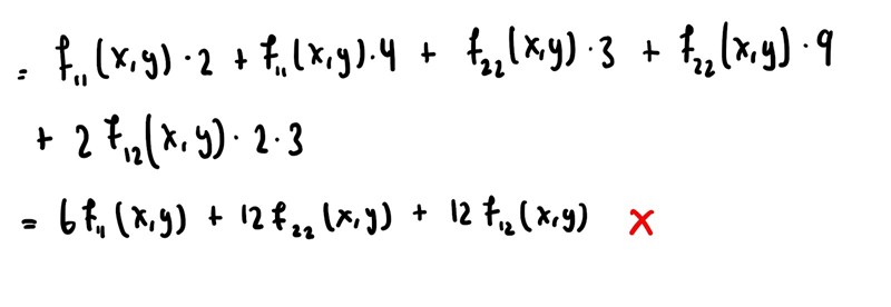
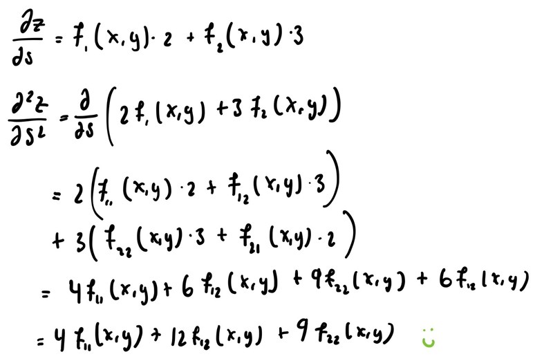
Jag ville försöka mig på att derivera med leibniz notation, men ser ut som jag får en faktor 3 och 2 för mycket... Kan någon se vart det går fel?
Z =f(x,y), x = 2s + 3t & y = 3s - 2t





Här är rätt svar, fast med annan notation:

x = 2s + 3t
= 0.
PATENTERAMERA skrev:x = 2s + 3t
= 0.
Ah jag ser mitt misstag! Tackar!