Flervariabelanalys parametrisering av kurva
En till:
Här är problemet:
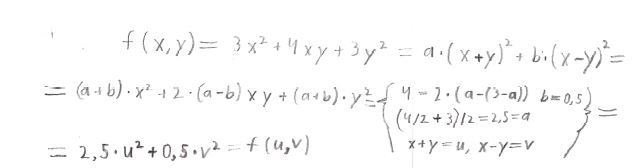
Låt f(x,y)= 3x2 + 4xy + 3y2 för alla (x,y) i R2
Bestäm en parametrisering av kurvan som ges av skärningen mellan grafen till funktionen f och planet som ges av
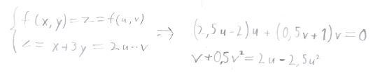
z = x + 3y
Går det att använda någon variant med samma lösningsmetod som på frågan jag postade tidigare, om flervariabelanalys cylinder? För jag tror inte att variablerna går att lösa ut bra för en parametisering i detta problem?
Sätt f(x,y) = z(x,y).
Sedan kanske man vill införa lämpligt variabelbyte som u = (x + y)/2, v = (x - y)/2.
Men hur får man över det på parameterform?
Jag vet hur man gör för 3 dimensioner, men hur gör man när man inte har fasta värden att förankra sig vid, eller lösa ut dom föränderliga variablerna?
En variant är att t.ex kvadratkomplettera uttrycket för y. Använd x som parameter.
Skärningskurvan blir troligen en sned ellips, så den kan parametriseras på "vanligt" sätt, dock i ett roterat och translaterat koordinatsystem.
Jag har redan gjort liknade saker men det var en återvändsgränd då jag bara kom fram till detta:


Vilket inte bildar någon parameter.
Jag tänker att det borde finnas något sätt att lösa ut det mera så att jag får en till enskild okänd variabel, t.ex. u= eller v=.
Jag gör grovjobbet åt dig.
Skärningen mellan kurvan och planet ges av
Av detta ser vi att skärningen är en ellips. Nu kan du parametrisera x och y av någon variabel t som vanligt med en ellips, den tredje variabeln z har du redan hur den beror på x och y och får då också hur den beror på t.