0
svar
106
visningar
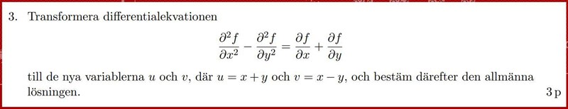
Flervariabelanalys: PDE lösning m.h.a integrerande faktor
Uppgiften:
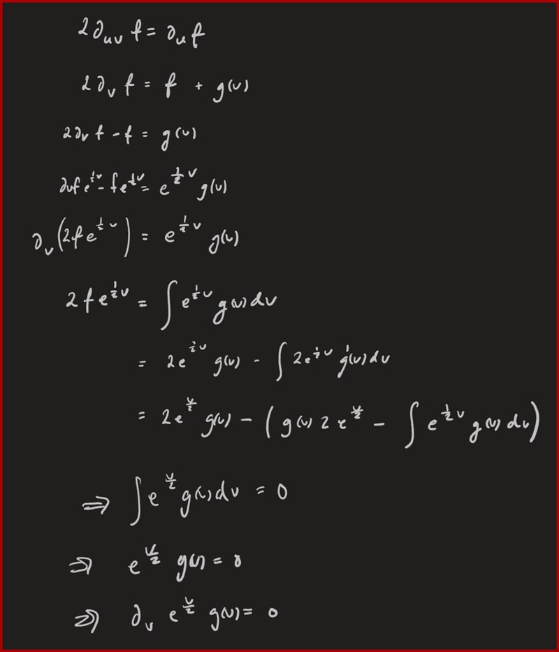
Här är mitt försök till lösning:

Facit

Som ni ser gjorde jag ett misstag direkt på rad två, men när jag fortsätter på det spåret får jag tre likheter i slutet som ser mycket märkliga ut. Kan någon se om min lösning (dvs integrera båda sidor avseende u istället för att sätta på en gång) går att använda? Eller är den doomed från början?