Flervariabelanalys: PDE
Hej, se:

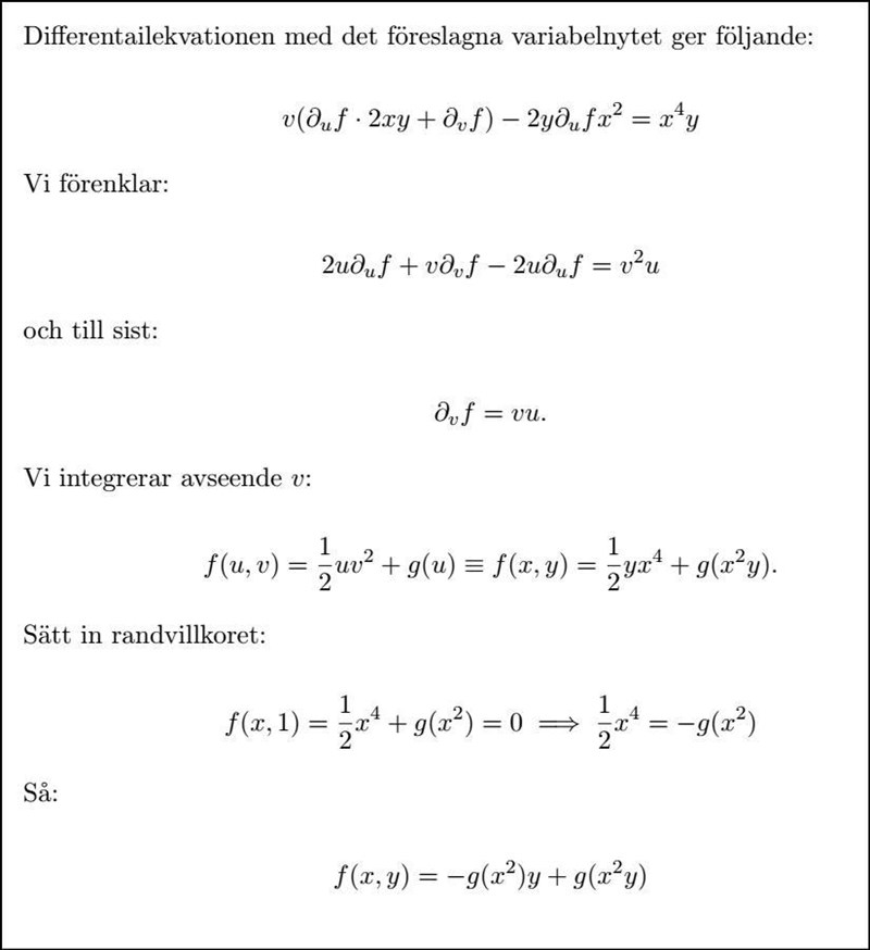
Min lösning:

Men enligt wolframalpha: https://www.wolframalpha.com/input/?i=pde+%3D+xD%5Bf%5Bx%2C+y%5D%2C+x%5D+-+2y+D%5Bf%5Bx%2C+y%5D%2C+y%5D+%3D%3D+x%5E4y
Vad är fel? Jag kan inte hitta något fel med min lösning.
Ni får väl samma sak med c1(t) = g(t)?
Du kan väl sedan räkna ut hur funktionen g(t) ser ut från randvillkoret?
Vad är t för nåt menar du?
Jag förstår inte vad du menar
Vad man nu kallar argumentet till funktionen g. u verkar du kalla det.
c1(u) = g(u)
Men jag har ju redan använt informationen "f(x,1)=0", hur ska jag göra det igen?
Om du för alla x har att
så är funktionen g(t) = ...
Oj vad jag är dum, tack så mycket.
Det är lätt att dribbla bort sig, speciellt på fredag eftermiddag!
Vänta bara tills jag gör bort mig igen på tisdag kl 14:00 (eller vilken tid som kan anses vara hjärnans prime time), haha.
Men du ser, jag satte ju likheten men tänkte inte att det betydde något mer.