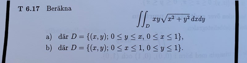
Flervariabelanalys: symmetriargument vid beräkning av dubbelintegral
Hej, se:

Integrationsområdet i a) är ju bara triangeln under y=x, men i b) en kvadrat som att man liksom flippar över. Då så säger jag att avbildningen (x,y)-->(-x,-y) är spegling i y=x och att f(x,y)=f(-x,-y) och integrationsområdet är symmetriskt kring y=x så det är integralen i a) gånger två?
Hur formulerar jag det finare?
Varför (x, y) - - >(-x, - y)? Håller med om speglingen men blir inte den (x, y) - - >(y, x)?
Just ja, eheh jag tänkte fel kvadrant, eller fel triangel, eller ja allt var fel. Men hur formulerar jag det finare?
Visa t.ex. att integranden är jämn med avseende på symmetriaxeln (1,1) samt att integrationsområdet är symmetriskt kring densamma.
Eller skriv bara trivial symmetri. Förutsätter dock att det är du som har tolkningsföreträde, t.ex. att det är du som skriver boken.
Tyvärr har jag inte skrivit boken haha, men okej, det du skrev var elegant och kort, jag kör på det
Hej, jag undrar på varför ska vi argumentera för symmetri när vi lösar dobbeltintegraler,
Altså på vilken sätt hjälper detta oss när vi lösar uppgiften.
mvh
suad
Gör helst en egen tråd men basically kan du undvika en massa krångel och jobb. Det finns exempel på när integranden och integrationsområdet är udda (här är den jämm) omkring en symmetrilinje, och då blir allt noll utan att du behöver räkna nåt!