Flervariabelanalys: varför ligger inte punkten på tangentplanet?
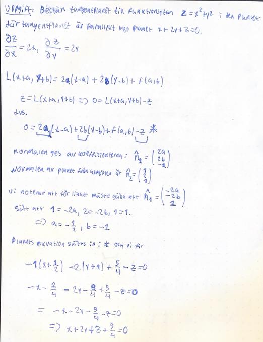
Hej! Har löst den bifogade uppgiften nedan, se bild för både uppgift och min lösning. Lösning överrensstämmer med facit, men det är en sak jag inte förstår (detta blir kanske alltså mer av en förståelsefråga).
Jag ritade upp funktionen, planet samt den punkten jag hittade . Det är bara det att när jag ritar upp det, så ligger punkten inte riktigt på tangentplanet. Jag försöker begripa varför - borde inte punkten ligga på planet, eller är det någon poäng jag har missat någonstans? Se https://www.desmos.com/3d/b77cc1d1b1 alternativt nedan för 3D-situationen jag ritade upp.


Är planet eller skriver du ?
Jag tror förövrigt du missar att z=x^2+y^2=5/4 i din modell, så här:
D4NIEL skrev:Är planet eller skriver du ?
Jag tror förövrigt du missar att z=x^2+y^2=5/4 i din modell, så här:
Planet är x+2y+z=0, sorry om min handstil inte var tydlig. Jag ser nu att jag missat z-koordinaten, hängde inte med på hur det hängde ihop riktigt men nu ser jag sambandet. Tack för din input!