Flervariabelkalkyl
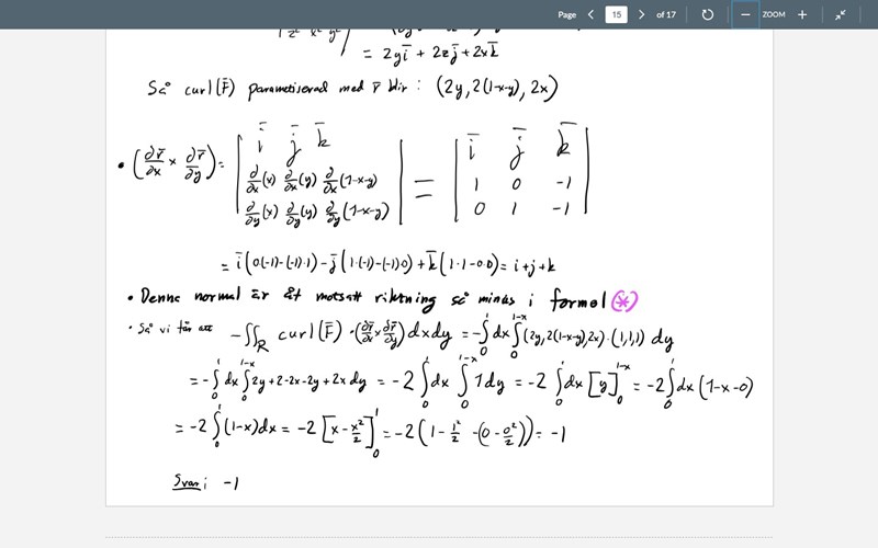
Jag sitter och gör gamla tentor och har fastnat på en del i följande uträkning


är det någon som kan förklara hur man vet om normalen är åt "rätt" riktning och hur man i slutet av uträkningen får det till att den är i motsatt riktning och att det därför blir minus i formeln. Skulle uppskatta om någon kan förklara varför det blir så och hur man kan tänka.
Du får använda högerhandsregeln på kurvan C som visas i figuren. Om du gör det får du att normalen skall vara riktad mot origo och inte från origo. Så det blir minustecken.

PATENTERAMERA skrev:Du får använda högerhandsregeln på kurvan C som visas i figuren. Om du gör det får du att normalen skall vara riktad mot origo och inte från origo. Så det blir minustecken.
okej tack för hjälpen! :)