Flervariabelkalkyl
Hej, jag skulle behöva hjälp med c)-frågan i följande problem


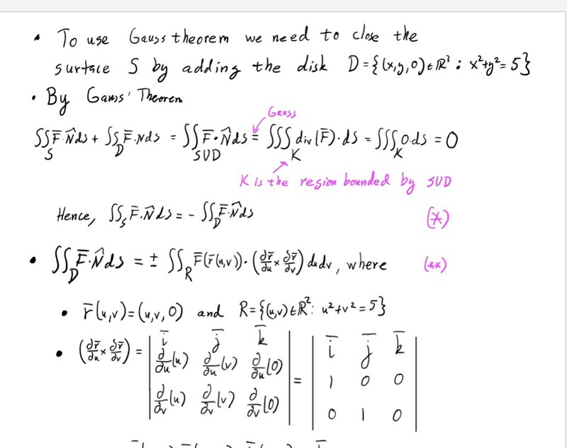
Dels så undrar jag om det är någon som har något tips på hur man kan tänka för att rita upp området S, tycker det är svårt att tänka ut hur man gör? Sen undrar jag om det finns någon som kan förklara varför vi måste lägga till "disken" D? Är området inte redan stängt eftersom vi har större än eller lika med tecken. Kanske är dum fråga men jag hänger inte riktigt med :)
Jag tror att ytan S är en sluten mängd i topologisk mening, men vi behöver en sluten volym för att använda satsen, så vi lägger till D.
S är inte en sluten yta i den meningen att den inte omsluter en volym. Jämför tex sfär med halvsfär. Ekvationen definierar en ellipsoid, men vi har kravet att z är större än noll så bara den övre delen av ellipsoiden kommer med. För att kunna tillämpa Gauss lägger man till disken och får en sluten yta.
Okej, tack så mycket för hjälpen :)