3
svar
114
visningar
Flervariabelkalkyl, orientering av yta

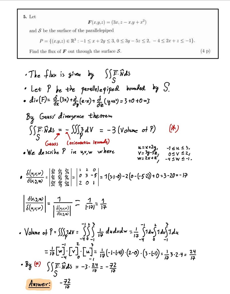
Hej, jag undrar om någon skulle kunna hjälpa mig med denna frågan. Jag förstår inte riktigt varför det blir minus i integralen. Det står (oriented inwards) men jag förstår inte varför det blir så.
Kan du lägga upp en bättre bild? Den som är nu är för liten för att mina gamla ögon skall kunna läsa vad det står, och om jag försöker förstora bilden blir det bara suddigt.
Smaragdalena skrev:Kan du lägga upp en bättre bild? Den som är nu är för liten för att mina gamla ögon skall kunna läsa vad det står, och om jag försöker förstora bilden blir det bara suddigt.
Ja absolut, är den här bilden bättre. Annars får jag testa ett annat sätt :)
Ingen som kan ge ett tips på hur man kan tänka? :)