16 svar
479 visningar
lund behöver inte mer hjälp
lund 529 – Fd. Medlem
Postad: 2 apr 2020 17:09 Redigerad: 2 apr 2020 17:33

Flervariabelsanalys

Hej,

Jag skulle behöva hjälp med följande uppgift

Jag har hittat samma fråga från en annan användare på pluggakuten, från 2019, som tyvärr inte gav mig förståelse. Den gjordes dessutom om till polär form vilket jag inte är bekant med ännu.

Det jag har förstått hittills är att randen ges av x2+y2=4 och funktionen på denne är ln(5)-x. Hur ska jag gå vidare för att kunna hitta största och minsta värde?

Edit: Jag har nu förstått att man ska börja med att hitta de stationära punkterna men när jag deriverar med avseende på x respektive y så får båda derivatorna variablerna x och y i sig pga att funktionen innehåller ln, hur ska jag då lösa dessa = 0?

dajamanté 5139 – Fd. Medlem
Postad: 2 apr 2020 18:11

Hej lund!

Som du skrev själv, du måste kolla :

  • stationära punkterna (där partiella derivator är lika med noll samtidigt)
  • randpunkter
  • inre stationära punkter (där derivatan inte existerar)

Så om du börjar med att ta fram fx och fy, hur ser de ut?

Smutsmunnen 1119
Postad: 2 apr 2020 18:12

Största och minsta värde finns i punkter (x,y) som uppfyller något av följande kriterier

1) Funktionens partiella derivator är 0 i den punkten.

2) Funktionen har inte partiella derivator i den punkten.

3) Punkten ligger på områdets rand.

Du har redan börjat med 3, du vet att funktionen är ln(5)-x på randen. Vad är största och minsta värde för denna funktion på randen? ln(5)-x beror ju endast på x, så frågan blir: inom vilket intervall måste x ligga om x^2+y^2=4?

Men sedan måste du alltså även beta av 1) och 2).

lund 529 – Fd. Medlem
Postad: 2 apr 2020 19:01 Redigerad: 2 apr 2020 19:01

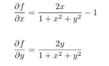
Okej, om vi då börjar med den första gällande partiella derivator, jag har nu tagit fram dessa två

Nästa steg är hur jag ska räkna ut dessa = 0 när de båda innehåller två variabler x och y?

dajamanté 5139 – Fd. Medlem
Postad: 2 apr 2020 19:03

Men om du börjar med den andra då?

När blir fdy=0?

PATENTERAMERA 8044
Postad: 2 apr 2020 19:04

Den andra ekvationen är noll omm y = 0. Kan det vara till någon hjälp?

dajamanté 5139 – Fd. Medlem
Postad: 2 apr 2020 19:10 Redigerad: 2 apr 2020 19:12

yy måste vara noll. Nu kan vi sätta in y=0y=0 i första ekvationen (fx\frac{\partial f}{\partial x})och lösa ut xx.

lund 529 – Fd. Medlem
Postad: 3 apr 2020 11:14 Redigerad: 3 apr 2020 11:16

Tack, jag satte in y = 0 i den första ekvationen och fick fram att x = 1. Alltså blir den stationära punkten (1 , 0), bör jag direkt fortsätta att hitta inre stationära punkter (där derivatan inte existerar) eller först bedöma om (1 , 0) är en max-eller minimipunkt?

dajamanté 5139 – Fd. Medlem
Postad: 3 apr 2020 11:19

Du måste först beräkna alla möjliga kandidater för att bedöma vilka är max eller min punkt, annars kan du inte jämföra.

lund 529 – Fd. Medlem
Postad: 3 apr 2020 11:52 Redigerad: 3 apr 2020 12:47

Okej tack för informationen.

Nu stöter jag på problem med hur man ska gå tillväga för att hitta inre punkter som saknar derivata? Detta är ett steg som jag inte hittar när jag kollar på liknande frågor och skulle uppskatta om någon ville förklara hur man ska tänka.

Edit: Jag förstår nu att om funktionen är differentierbar så gör man inte detta steg då det inte finns några punkter som saknar en derivata. Men hur avgör man om funktionen är differentierbar? Det bör vara det första steget.

lund 529 – Fd. Medlem
Postad: 3 apr 2020 14:32 Redigerad: 3 apr 2020 14:44

Då jag fastnade på ovanstående och inte lyckades komma vidare så valde jag att ta reda på punkterna på randen först. Efter endel undersökning så valde jag att parametisera till

x = 2cost
Där t är inom intervallet [0 , 2pi]
Funktionen på randen blir då ln(5)-2cost

Därefter resonerade jag att för att punkten ska vara så stor som möjligt på randen så måste cost vara lika med -1, och för att vara så liten som möjligt så måste cost vara lika med 1. Vilket innebär att x är -2 respektive 2.

Stämmer detta? Och om ja hur får jag ut värdet på y för att få fram själva punkten?

PATENTERAMERA 8044
Postad: 3 apr 2020 14:48

Du behöver inte parametrisera.

Du vet att f antar värdet ln(5) - x på randen, dvs då x är i intervallet [-2, 2].

Det är uppenbart att största värde (ln(5) +2) fås då x = -2 och minsta värde (ln(5) -2) fås då x = 2.

y-värdet får du från villkoret x2 + y2 = 4 på randen.

Du har visat att du har kontinuerliga partiella derivator överallt, så funktionen är differentierbar  överallt.

dajamanté 5139 – Fd. Medlem
Postad: 3 apr 2020 15:01 Redigerad: 3 apr 2020 15:03

Ja, precis, som skrev Smutsmunnen i början, funktionen ln(5)-xln(5)-x beror bara på xx, och du har identifierad max och min värderna i intervallet x=[-2,2]x= [-2,2].

Funktionen är deriverbar överallt eftersom ln(1+x2+y2)ln(1+x^2+y^2) är alltid definierad, för att x2+y2x^2+y^2 är alltid lika med eller större än noll, och xx är en polynom dvs deriverbar överallt.

 

PS: bra jobbat ändå med parametrisering 👍🏾!

lund 529 – Fd. Medlem
Postad: 3 apr 2020 15:11 Redigerad: 3 apr 2020 15:16
PATENTERAMERA skrev:

Du behöver inte parametrisera.

Du vet att f antar värdet ln(5) - x på randen, dvs då x är i intervallet [-2, 2].

Det är uppenbart att största värde (ln(5) +2) fås då x = -2 och minsta värde (ln(5) -2) fås då x = 2.

y-värdet får du från villkoret x2 + y2 = 4 på randen.

Du har visat att du har kontinuerliga partiella derivator överallt, så funktionen är differentierbar  överallt.

Okej tack så mycket, då bryter jag ut y från villkoret x2 + y2 = 4 och tar bort parametiseringen. Ser även nu att hur jag kan visa att jag har kontinuerliga derivator.

lund 529 – Fd. Medlem
Postad: 3 apr 2020 15:14 Redigerad: 3 apr 2020 15:20
dajamanté skrev:

Ja, precis, som skrev Smutsmunnen i början, funktionen ln(5)-xln(5)-x beror bara på xx, och du har identifierad max och min värderna i intervallet x=[-2,2]x= [-2,2].

Funktionen är deriverbar överallt eftersom ln(1+x2+y2)ln(1+x^2+y^2) är alltid definierad, för att x2+y2x^2+y^2 är alltid lika med eller större än noll, och xx är en polynom dvs deriverbar överallt.

 

PS: bra jobbat ändå med parametrisering 👍🏾!

Tack så mycket dajamanté, då fick jag även svar på vad som räcker för att visa att funktionen är deriverbar överallt.

Tack 😃 Jag tar ändå bort parametriseringen i detta fall men det är bra att kunna till kommande uppgifter! 

lund 529 – Fd. Medlem
Postad: 3 apr 2020 15:19 Redigerad: 3 apr 2020 15:21

Jag vill tacka alla för er hjälp, har fått en bra förståelse över denna uppgift nu!

I mitt sista steg ska jag nu bestämma största och minsta värde för funktionen utifrån de punkter jag har, jag tolkar det som att jag ska sätta in samtliga punkter i f(x,y) och därav läsa största och minsta värde, är det korrekt tolkat?

Jag har alltså sammanlagt tre stycken punkter att sätta in då, två från randen samt en stationär punkt.

dajamanté 5139 – Fd. Medlem
Postad: 3 apr 2020 18:06

Varsågod!

Ja, såhär burkade vi göra, beräkna alla möjliga min-max punkter och då jämföra de :)!

Svara
Close