Flervariabelsanalys, bestämma tangentplan
Gällande fråga a):

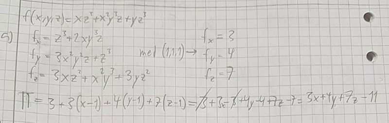
Min lösning:

Är min lösning fel och jag förstår inte varför de inte tar med f(x,y,z)=3 i planets ekvation?
Jag förstod nog inte riktigt din fråga.
Konstanten hör till ytan, dvs . (I ditt fall är K=3).
Om är en kurva på nivåytan med gäller att (med kedjeregeln)
, dvs gradienten ät vinkelrät mot varje kurva på nivåytan.
Så konstanten tillhör nivåytan -- annars hade vi inte fått skalärprodukten =0 (ortogonalitetsegenskapen).
Och speciellt för gäller .
Gradienten visar således nivåytans normalriktning.
Jag kanske har blandat ihop vad som menas med f(x,y,z) = 3 och vad som skulle menas med f(x0,y0,z0) = 3. För om det hade stått f(x0,y0,z0) = 3 hade mitt svar stämt väl?
Så en konstant spelar alltså ingen roll när man ska bestämma ett tangentplan, eller är jag ute och cyklar?
En nivåyta till funktionen är alla x,y och z sådana att
Om t.ex. så är nivåytan en sfär med radien 2.
Om istället blir nivåytan en sfär med radien 4.
Konstanten väljer alltså ut vilken (av oändligt många) nivåytor vi är intresserade av. Någon annan funktion fyller inte konstanten.
Gradienten är riktad i den riktning där f växer snabbast och är vinkelrät mot nivåytan eftersom funktionen inte ändras (är konstant) där.
Vill vi bestämma ett tangentplan till en nivåyta är vi intresserade av just en vektor som är vinkelrät mot nivåytan. Då blir det bekvämt att använda gradienten.
När man bestämmer tangentplanets ekvation kan man utgå från tangeringspunkten , normalen och en lägesvektor . Då blir tangentplanets ekvation:
Man ska inte plötsligt lägga till en konstant i den ekvationen.
Däremot måste vara uppfyllt, annars skulle inte tangeringspunkten ligga på nivåytan.
okej jag tror jag är med. tack för svar