Flervariabelsanalys dubbelintegraler

hej !
Varför är mitt svar fel i uppgift 15?-1.jpg?width=800&upscale=false)
När x går från 0 till 1 så går y från 0 till 3x.
Mogens skrev:När x går från 0 till 1 så går y från 0 till 3x.
Varför 0 till 3x och ej 0 till 3y? Och varför säger man ens att den går från 0 till 3x och ej 1 till 3 som jag tänkte i början?
Förlåt, jag tittade på din figur och skrev fel.
Området begränsas under av y = 0 och över av y = 3x.
Du skriver alltså (fast jag har inga integraltecken, så du får vara generös vid tolkningen):
Integral av x från 0 till 3 [ (integral av y från 0 till 3x) dy ] dx =
= Integral av x från 0 till 3 [ (xy2/2 – y2/2) y från 0 till 3x) ] dx =
= Integral av x från 0 till 3 [ (x9x2/2 –9x2/2) – (0–0) ] dx =
= …
Mogens skrev:Förlåt, jag tittade på din figur och skrev fel.
Området begränsas under av y = x och över av y = 3x.
Du skriver alltså (fast jag har inga integraltecken, så du får vara generös vid tolkningen):
Integral av x från 0 till 3 [ (integral av y från x till 3x) dy ] dx =
= Integral av x från 0 till 3 [ (xy2/2 – y2/2) y från x till 3x) ] dx =
= Integral av x från 0 till 3 [ (x9x2/2 –x2/2) – (0–0) ] dx =
= …
Ingen fara, men jag förstår ej varför du skriver så. Hänger ej med. Har fortfarande ej fått svar på mina frågor
Nu har jag gjort fel två gånger. Förlåt! Skriver ut en riktig lösning, kommer strax tillbaka.
Mogens skrev:
Jag förstår ej varför vi går från 0 till x och 0 till 3x? Bara av att se på figuren hänger jag ej med.
När du beräknar en vanlig integral, alltså en enkelintegral, så beräknar du något som ofta kan illustreras med en area.
Du ställer en brödskiva på ett bord. Gå från vänster till höger och summera höjderna. Du får ett antal smala rektanglar som tillsammans ger brödskivans area. (Inte riktigt rektanglar, men ungefär)
Strecken i min figur kan tolkas som att vi tittar på flera uppskurna brödskivor uppifrån. Integralen från 0 till y = 3x längs ett streck är alltså arean av en brödskiva. Men vi tittar på hela limpan uppifrån. Lägger vi ihop alla areorna (och multiplicerar med skivornas tjocklek) så får vi limpans volym.
I detta fall var limpan en dålig liknelse eftersom jag fick en negativ volym (om jag nu räknade rätt) det beror på att f(x, y) ibland var negativ. Men det kan hjälpa att se dubbelintegraler som volymer (av berg eller limpor), likaväl som vi använder enkelintegraler för att beräkna areor.
Mogens skrev:När du beräknar en vanlig integral, alltså en enkelintegral, så beräknar du något som ofta kan illustreras med en area.
Du ställer en brödskiva på ett bord. Gå från vänster till höger och summera höjderna. Du får ett antal smala rektanglar som tillsammans ger brödskivans area. (Inte riktigt rektanglar, men ungefär)
Strecken i min figur kan tolkas som att vi tittar på flera uppskurna brödskivor uppifrån. Integralen från 0 till y = 3x längs ett streck är alltså arean av en brödskiva. Men vi tittar på hela limpan uppifrån. Lägger vi ihop alla areorna (och multiplicerar med skivornas tjocklek) så får vi limpans volym.
I detta fall var limpan en dålig liknelse eftersom jag fick en negativ volym (om jag nu räknade rätt) det beror på att f(x, y) ibland var negativ. Men det kan hjälpa att se dubbelintegraler som volymer (av berg eller limpor), likaväl som vi använder enkelintegraler för att beräkna areor.
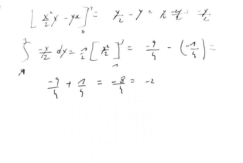
Okej varför integrerar du dy först? Jag försöker integrera dx först o sen dy..
¨Visst kan man byta integrationsordning här. Då blir det
Int y från noll till 3 [ (int x från y/3 till 1)dx ] dy
du skär limpan på tvären i stället för på längden. Volymen är samma.
Bra sätt om man vill kolla uträkningen.
Mogens skrev:¨Visst kan man byta integrationsordning här. Då blir det
Int y från noll till 3 [ (int x från y/3 till 1)dx ] dy
du skär limpan på tvären i stället för på längden. Volymen är samma.
Bra sätt om man vill kolla uträkningen.
Tyvärr får jag ej samma när jag byter ordningen.. jag vet ej varför. Jag får en variabel och ej ett tal. Du säger x= y/3 och jag förstår ej varför,men jag använde 0 till 3x som vi pratat om
Om y = 3x så x = y/3. De vertikala linjerna i min lösning blir horisontella.

