Flervariabelsanalys. Kurvintegraler
hej! Varför är mitt svar i 8a fel? De fick till 17/6. Förstår ej riktigt hur de resonerade..

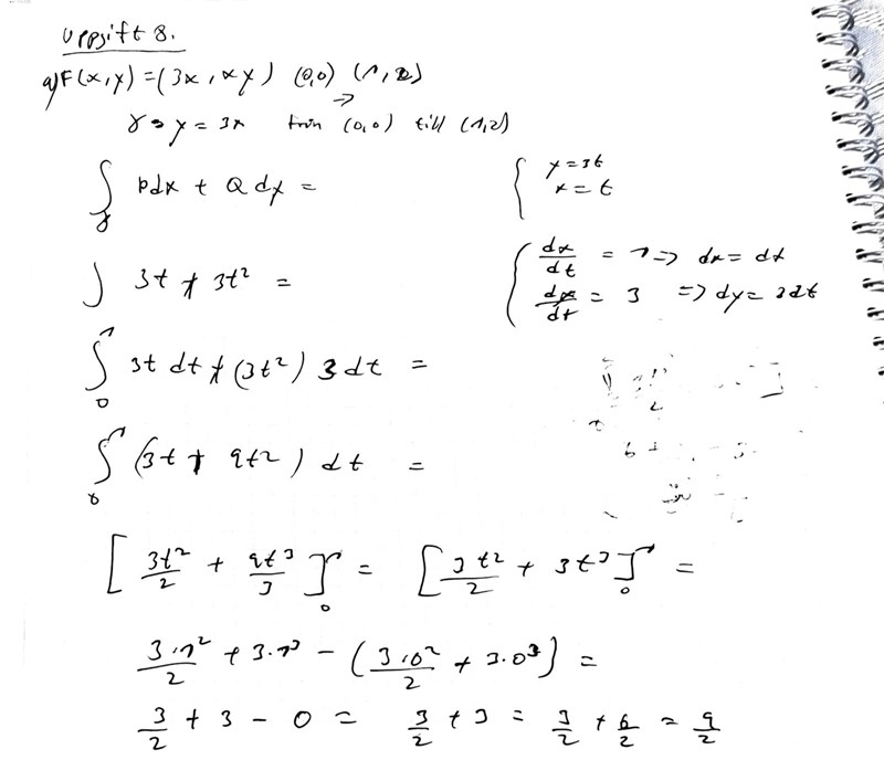
x = t
y = 2t.
PATENTERAMERA skrev:x = t
y = 2t.
Förstår ej hur du fick det?? Ska man parametisera utifrån punkten de gav oss i uppgiften? Personen på denna video verkar ej göra det iallafall. https://youtu.be/VZWTMs_KNuY
Du skall parametrisera det linjestycke du skall integrera över.
Smaragdalena skrev:Du skall parametrisera det linjestycke du skall integrera över.
Linjestycket är då (1,2) ? Jag hade för mig det var 3x som de menade man ska parametrisera.
Om du skall parametrisera ett linjestycke från en punkt P till en punkt Q så är det enklaste sättet t P + t, 0 t 1.
PATENTERAMERA skrev:Om du skall parametrisera ett linjestycke från en punkt P till en punkt Q så är det enklaste sättet t P + t, 0 t 1.
Oh okej jag förstår då. Tack!