Flervariabelsanalys, normalvektor till yta
Tja! Jag får absoult fnatt på den här uppgiften. Jag vet inte riktigt hur jag ska angripa den.

Först och främst så tror jag inte att jag grepper hela den här grejen med parametrisering av ytor. Hur kommer cos(2piST) in i det hela? Är det vår funktion?
Jag har tänkt på det som s = x, t = y och cos(2pist) = z
men jag vet inte hur jag ska ta det vidare härifrån. Supertacksam för hjälp!
Du kan räkna ut två tangentvektorer och i den aktuella punkten. Sedan kan du räkna ut en normalvektor med kryssprodukten
.
Ja. Du har funktionen
Menar ni att man ska använda linjär approximation enligt:

Eller gradienten för att ta fram en normalvektor?
Spelar det någon roll?
Ehm, med den linjära approximationen får man ju fram ekvationen för tangentplanetm, så utifrån ekvationen kan man få fram normalvektorn.
Jag är lite osäker på gradienten, man kan ju få fram en ekvation där också men det är väl inte alltid så att gradienten är parallell med ytan? Eller har jag fel?

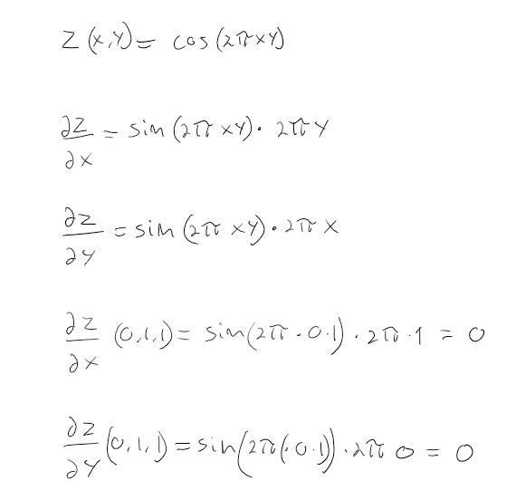
Så här långt har jag kommit, men det känns inte som att det blir ett korrekt sätt att beräkna de partiella derivatorna?
Edit: Insåg nu att jag helt glömt bort produktregeln...
Ser i stort rätt ut men du missar att derivatan av cosinus är -sinus.
Så din linjära approximation blir
z - 1 = 0(x - 0) + 0(y -1) (0, 0, 1)•((x, y, z) - (0, 1, 1)) = 0.
Så tex (0, 0, 1) är en normalvektor.
Aa precis, -sinus ska det självklart vara.
Det är normalvektorn 0,0,1 som används i facit så det är mycket riktigt!
Får jag bara fråga vart z-1 kommer ifrån? Har det något att göra med att z-koordinaten i punkten = 1?
Din linjära approximation säger
z = f(0, 1) + 0(x - 0) + 0(y - 1), men f(0, 1) = 1.
Och vi kan ”flytta” alla termer till VL, varvid vi får
z - 1 + 0(x - 0) + 0(y - 1) = 0.
Vilket motsvarar ett plan genom punkten (0, 1, 1) med normal (0, 0, 1). Planet kan naturligtvis även skrivas z = 1, vilket kanske är enklare att tolka geometriskt.
Ah juste, termen för funktionen i punkten är ju med i den linjära approximationen. Jag hänger med nu! För planet kan vi tänka 0*x + 0*y +1*z = 1 vilket självklart ger normalvektorn (0,0,1) då planet är parallellt med XY-planet.
Får jag fråga dig gällande gradienten? Den pekar ju åt håller som derivatan är som störst. Men är det så att gradienten alltid är vinkelrät not ytan och på så sätt parallell med planet, varav man kan göra en kryssprodukt för normalen?
Annars tackar jag dig för hjälpen!
Om du har en yta given som en nivåyta till en funktion, dvs på formen
g(x, y, z) = k (konstant),
och du har en punkt (a, b, c) som tillhör ytan (g(a, b, c) = k) så är gradienten till g utvärderad i (a, b, c) en normalvektor till nivåytan i punkten (a, b, c) och tangentplanet i punkten (a, b, c) kan därför skrivas
g(a, b, c) • ((x, y, z) - (a, b, c)) = 0.
Du kan överföra vårt problem till denna form genom att införa g(x, y, z) = z - f(x, y).
Ytan i problemet kan då skrivas på nivåyteform som g(x, y, z) = 0.
PATENTERAMERA skrev:Om du har en yta given som en nivåyta till en funktion, dvs på formen
g(x, y, z) = k (konstant),
och du har en punkt (a, b, c) som tillhör ytan (g(a, b, c) = k) så är gradienten till g utvärderad i (a, b, c) en normalvektor till nivåytan i punkten (a, b, c) och tangentplanet i punkten (a, b, c) kan därför skrivas
g(a, b, c) • ((x, y, z) - (a, b, c)) = 0.
Du kan överföra vårt problem till denna form genom att införa g(x, y, z) = z - f(x, y).
Ytan i problemet kan då skrivas på nivåyteform som g(x, y, z) = 0.
Insåg att jag förvirrade mig själv och har blandat ihop gradienten med riktningsderivatan. Jag förstår hela grejen med gradienten nu också! Tack för hjälpen!