Flervariabelsanalys - Tangent till plan
Hej! Jag är förvirrad kring hur man ska hitta z koordinaten, till givet plan (som bara inehåller x & y) med koordinater.
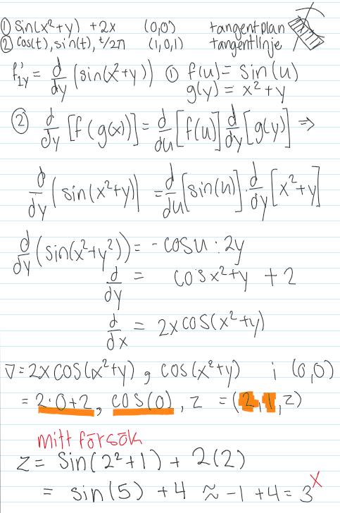
(Mitt försök... Jag lyckades hitta x och y, men fick fel Z värde. Jag tänkte, vad är Z när X = 2, och y=1. Men det var visserligen inte helt rätt...)
I ett ON-system kan du skriva planets ekvation som
Ax+By+Cz+D = 0 (1)
I det här exemplet har du
sin(x2+y) +2x = y -> sin(x2+y) +2x -y = 0 (2)
Om du jämför ekv 1 med ekv 2 så kan du lätt identifiera C som är lika med -1. A och B är svårare men som lösningsförslaget ger så kan du derivera planets ekvation map x resp y och då får du A och B som är dx/df resp dy/df som du ser i ekv 1
A,B,C representerar normalvektorn och sätter du in origo i derivatorna så får du A(0) resp B(0). C är oberoende av x, y som du ser i ekv 2.
Hoppas det underlättar, hör av dig annars.
Tack CurtJ! Om jag förstår rätt, så är metoden helt enkelt annorlunda för x och y som för z.
x & y kräver den metoden där man deriverar, och stoppar in koordinaterna som anges (origo tex),
och z kräver att man byter original ekv till ON-system format, där z coordinaten är =C ?
Egentligen inte, du skulle kunna identifiera A och B från planets ekvation men det är knepigt att skriva om den så du får en faktor A för x och en faktor B för y. Det är mycket enklare att derivera den och då får du faktorerna rakt upp o ner. Hade du haft en enklare ekvation för planet så hade du kunnat ta ut A och B direkt likt C.
Ex: 14x +12y -z = 0 ger dig A och B och C direkt. I den aktuella funktionen är inte lika lätt att identifiera A,B som sagt.
C är enklare då den inte är beroende av x eller y.
Är du med på det?
Då hänger jag med!
Det är bara i denna ekvationen som gör att det blir krångligt för ON-system metoden.
Tack!