5
svar
306
visningar
Marcus N behöver inte mer hjälp
Flervariableanalys

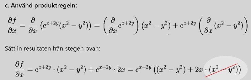
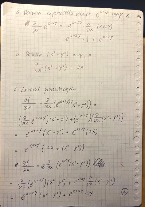
Stämmer det att:



Varför stämmer det inte med facit?
Det är ett har blivit en term för mycket här








Största värde är e medan minsta värde är -e^2 inom intervallet. Stämmer detta?
Du har glömt undersöka randen
Till exempel ligger punkten i intervallet och
En annan punkt som motsäger din slutsats är där
Randen är (x,y)=(0,0); (0,1); (1,0); (1,1). Och dessa har jag undersökt i sidan 7 i min egen lösning.
Se #3
Nej, randen består av linjer, inte av punkter. Området är en kvadrat i första kvadranten. Du har bara beräknat de fyra blå punkterna, men du måste beräkna hela randen (alla punkterna på de röda linjerna, inte bara de fyra ändpunkterna).
