2
svar
102
visningar
Haraldo behöver inte mer hjälp
Flervarre

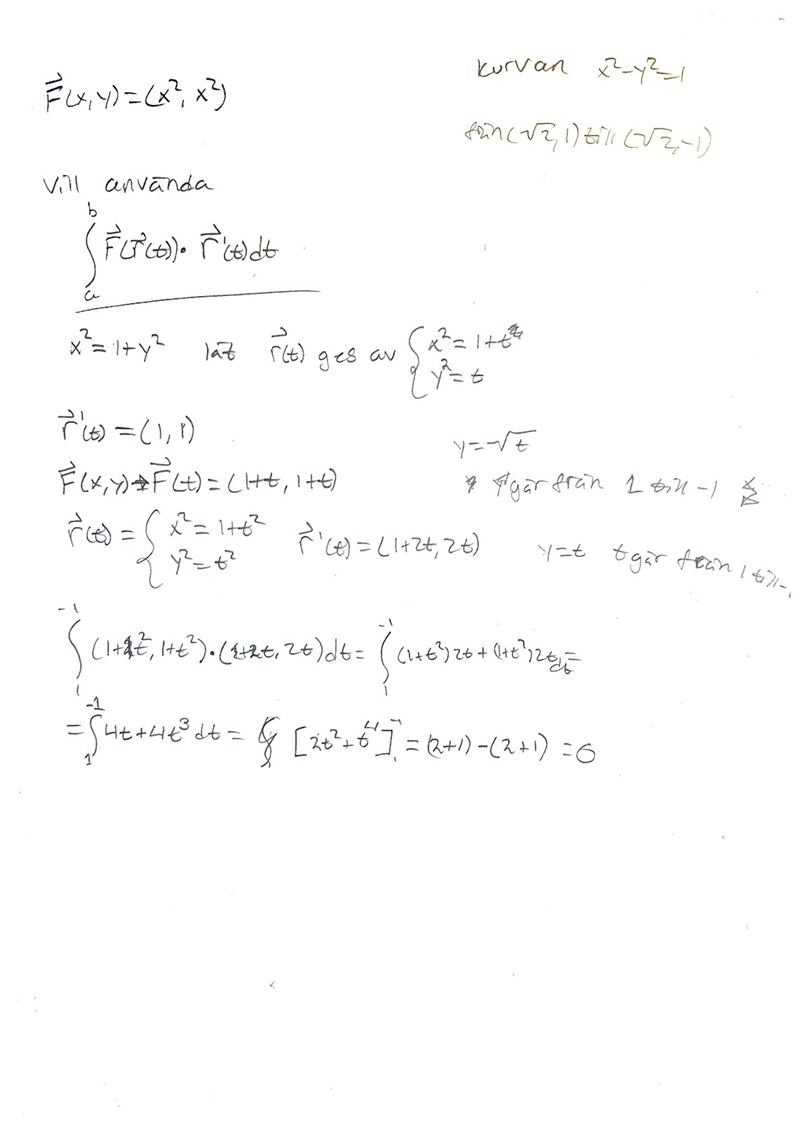
Ser inte vad jag gör för fel, antar att det är hur jag väljer mitt då vi får 0 oavsett gränserna för integralen och 0 är fel svar.
Din parameterframställning ser underlig ut, t.ex. kan ju inte för negativa . Dessutom ska peka i kurvans färdriktning.
Skissa kurvan med start- och slutpunkt samt dela upp parameterframställningen i två delar, en för positiva y och en för negativa y.
D4NIEL skrev:Din parameterframställning ser underlig ut, t.ex. kan ju inte för negativa . Dessutom ska peka i kurvans färdriktning.
Skissa kurvan med start- och slutpunkt samt dela upp parameterframställningen i två delar, en för positiva y och en för negativa y.
Tack löste det nu, fattar felet hahaha