Flödesintegral
Frågan lyder:

Är förvirrad hur jag ska gå tillväga, är det så att man kan täppa igen paraboloiden genom att sätta två lock där
och för att sedan använda Divergenssatsen? Gränserna säger dock att ...

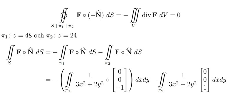
, här har jag använt två plan för att täppa till sluten yta även om gränserna är , skulle uppskatta väldigt mycket om jag kunde få bekräftelse om man kan göra så.
Ja, det går bra att använda två plan för att täppa till ytan som du gjort. (Skillnaden mellan och är oväsentlig i en sådan här integralberäkning).
Det enda jag kan anmärka på är skrivsättet du använder på nedersta raden. I den första har du skalärproduktsprick (?) mellan en skalär () och en vektor (. I den andra har du ingen skalärproduktsprick, och då blir väl integranden en vektor istället för en skalär, som den borde vara?

Såhär har jag tänkt:
Planets enhetsnormal till det första planet pekar nedåt, medan det andra uppåt . I uppgiften säger dem att är den inåtriktade enhetsnormalen till ytan S, innan jag går vidare med beräkningen är detta något man behöver tänka på? (Har noterat det som i den allra första integralen)
Med det i åtanke, ska det istället stå, ?
AlvinB skrev:(Skillnaden mellan och är oväsentlig i en sådan här integralberäkning).
Du får gärna förklara varför det är oväsentlig, vill vara matematisk korrekt och som jag nu ser är gränserna:
med villkoret 24<z<48
migai skrev:AlvinB skrev:(Skillnaden mellan och är oväsentlig i en sådan här integralberäkning).
Du får gärna förklara varför det är oväsentlig, vill vara matematisk korrekt och som jag nu ser är gränserna:
med villkoret 24<z<48
Arean av en rektangel vars ena sida är 0 har värdet 0.

Divergenssatsen går bara att använda på slutna ytor, men ytan S är strikt 24<z<48. Hur kan jag då garantera att blir sluten om jag sätter på två lock där, z=24 och z=48 ? Kommer det inte att finnas ett väldigt litet mellanrum?
Jag hamnar också i problem när jag ska beräkna integralen, då denna ej konvergerar...
Vilka villkor (på fältet och området) måste vara uppfyllda för att man ska få använda Gauss sats?
Hur ser fältet ut utmed z-axeln (x=0, y=0)?
-------------------------------------------------------------------------------
Det är ganska enkelt att parametrisera mantelytan S och det ger en relativt enkel integral.
Jroth skrev:Vilka villkor (på fältet och området) måste vara uppfyllda för att man ska få använda Gauss sats?
Hur ser fältet ut utmed z-axeln (x=0, y=0)?
-------------------------------------------------------------------------------
Det är ganska enkelt att parametrisera mantelytan S och det ger en relativt enkel integral.
Om Gauss Sats ska användas måste vi kontrollera att är kontinuerliga och har kontinuerliga partiella derivator. Jag antar att fältet har en singulärpunkt vid x=0, y=0 och därmed kan Gauss sats inte användas?
Jroth skrev:Det är ganska enkelt att parametrisera mantelytan S och det ger en relativt enkel integral.
Det var snyggt löst! Med enhetsnormalen inåtriktad blir hela uttrycket negativt istället då kryssprodukten definieras som negativt?
Nej, har en positiv z-komponent vilket betyder att den pekar lite uppåt (in mot) det växande taket, Hade pilen varit på "utsidan" av ytan hade den pekat nedåt (haft negativ z-komponent).
