1
svar
80
visningar
Zingy1 behöver inte mer hjälp
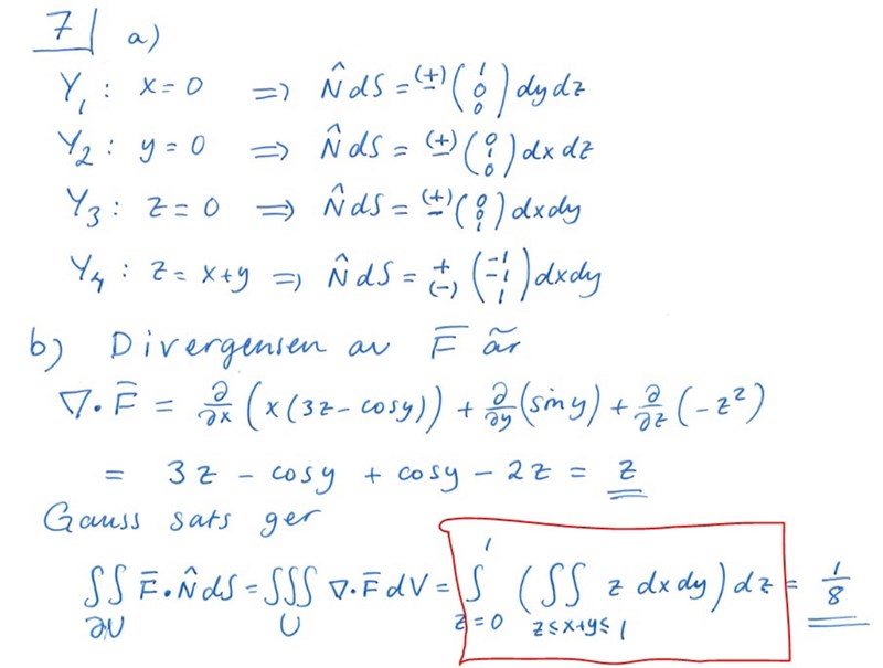
Flödesintegral, integrationsgränser
Jag har haft problem med denna. Vet inte hur jag ska få integrationsgränserna. vet inte hur jag ska tolka områdes gränserna. Har testat detta men får fel svar. Facit finns nedan men är väldigt ytligt.

Det borde gå att göra som du gör. Troligen räknemiss på vägen.