2
svar
140
visningar
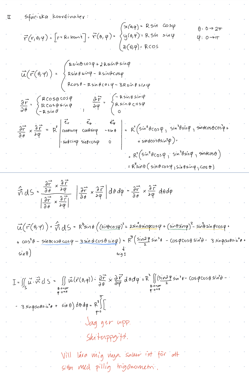
Flödesintegral utan Gauss' sats
Hej. Jag är så arg på denna uppgift. Hjälp nån.


Kan du inte räkna ut divergensen av u i kartesiska koordinater och sedan då den är på den formen omvandla de resulterande koordinaterna till sfäriska och dV till vad dV blir i sfäriska koordinater?
(Detta är en genuin fråga. Jag vet inte om man kan göra på det här viset, jag bara tycker det låter rimligt.)
Du kan skriva om u som u = r + (2y, -x, -x-3y). Mha tex symmetriresonemang kan man resonera sig fram till att endast den första termen har ett nettobidrag till flödet.
.