7 svar
114 visningar
Moni1 721 – Fd. Medlem
Postad: 4 aug 2020 14:57

Flödesintegralens definition

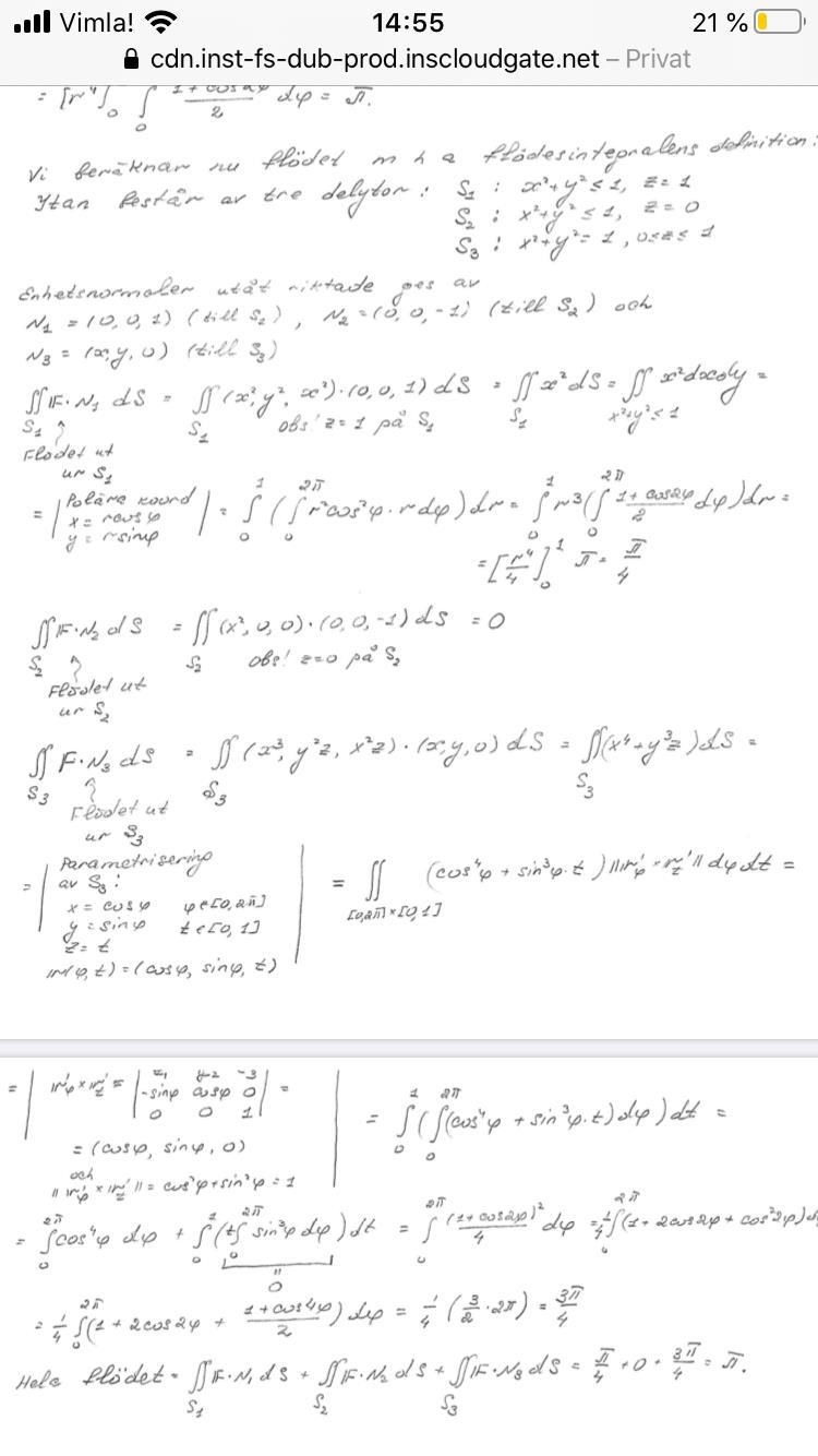
Hej, i uppgiften behöver Vi beräkna flödet med hjälp av flödesintegralensdefinition. 
men i lösningen, delar vi området I tre delytor. 
Och mitt fråga är att värför delar vi området I tre delytor. Och värför är normalen till s2 är lik (0,0,-1) och inte samma som normalen till s1. Och hur beräknar vi den normalen till s3. 
 
delar vi området för att orientering på ytan ska vara positiv. 

Jroth 1191 – Fd. Medlem
Postad: 4 aug 2020 15:24 Redigerad: 4 aug 2020 15:42

Normalen till locket n1n_1 pekar åt motsatt håll jämfört med n2n_2

Normalen n3n_3 pekar ut från mantelytan i radiell led r^\hat{r}. Normalen till mantelytan pekar alltså hela tiden ut från cylindern och är vinkelrät mot ytan. Det betyder att den har olika riktning beroende var på ytan du är.

För att räkna ut normalen kan du parametrisera mantelytan i en vinkel och en z-koordinat.

r(φ,z)=(cos(φ),sin(φ),z)\mathbf{r}(\varphi, z)=(\cos(\varphi), \sin(\varphi), z)

Då blir normalen rφ'×rz'\mathbf{r}^'_\varphi \times \mathbf{r}^'_z

Ett lite enklare sätt är att inse att den alltid pekar i radiell led r^\hat{r}, vilket innebär

n^3=(cos(θ),sin(θ),0)=1x2+y2(x,y,0)\mathbf{\hat{n}}_3=(\cos(\theta), \sin(\theta),0)=\frac{1}{\sqrt{x^2+y^2}}(x,y,0)

I just det här fallet är x2+y2=1x^2+y^2=1 varför

n^3=(x,y,0)\mathbf{\hat{n}}_3=(x,y,0)

Moni1 721 – Fd. Medlem
Postad: 4 aug 2020 15:42

Hej, och tack för din svar, jag vet inte hur i lösningen beräknas normalen n3, eftersom om vi ser på området som grafen på en funktion f(x,y)=(x^2+y^2). Och använder formelen i bilden, så får jag N=(-2x,-2y,1) och inte (x,y,0). Så hur beräknar vi denna normalen 

Moni1 721 – Fd. Medlem
Postad: 4 aug 2020 15:42

Jroth 1191 – Fd. Medlem
Postad: 4 aug 2020 16:13 Redigerad: 4 aug 2020 16:15

Du kan inte använda standardparametriseringen z=f(x,y)z=f(x,y) för mantelytan.

Mantelytan kan du parametrisera i cylinderkoordinater

x=ρcos(φ)x=\rho\cos(\varphi)

y=ρsin(φ)y=\rho\sin(\varphi)

z=z'z=z'

För mantelytan gäller att ρ2=x2+y2=1\rho^2=x^2+y^2=1, 0<z<10<z<1. En parameterframställning för mantelytan är därför

r(φ,z)=(cos(φ),sin(φ),z)\mathbf{r}(\varphi, z)=(\cos(\varphi), \sin(\varphi), z) där 0<φ<2π0<\varphi<2\pi och 0<z<10<z<1.

n3=rφ'×rz'=(cos(φ),sin(φ),0)\mathbf{n}_3=\mathbf{r}^'_\varphi \times \mathbf{r}^'_z=(\cos(\varphi), \sin(\varphi),0)

Vilket är samma sak som (x,y,0) då x2+y2=1x^2+y^2=1.

Moni1 721 – Fd. Medlem
Postad: 4 aug 2020 16:18

hej, tack så mycket, så du menar att eftersom radien för cirkelen är lika med ett, är x=1*cos(φ), och y=1*sin(φ)

Jroth 1191 – Fd. Medlem
Postad: 4 aug 2020 16:20
suad skrev:

hej, tack så mycket, så du menar att eftersom radien för cirkelen är lika med ett, är x=1*cos(φ), och y=1*sin(φ)

Ja, just det.

Moni1 721 – Fd. Medlem
Postad: 4 aug 2020 16:22

tack så mycket, det var till stor hjälp

Svara
Close