Flytta minustecken i bråk?
I ett exempel under ”distributiva lagen” på wiki.math.se förekommer denna ekvation. Hur kommer det sig att Y i täljaren plötsligt kan få ett minus i andra ledet i lösningen? Hur gör man detta?
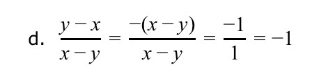
Edit: Kom på svaret. ”Om man har ett minustecken framför parantes kan man ta bort det om alla termer i parantesen ändrar tecken”. De har gjort det omvända här.
Det ser konstigt ut ibland, eftersom minustecknet används för att beteckna både subtraktion och "negativitet". Vilket som gäller får man läsa ut av sammanhanget.
När det står –1 är det inte fråga om subtraktion utan om att ange det till 1 motsatta talet,
dvs det tal som adderat till 1 ger summan 0. Här anger tecknet "negativitet".
I uttrycket x – y anger minustecknet subtraktion.
I uttrycket – (x – y) anger det första minustecknet "negativitet" .
Uttrycket kan då skrivas
(-1)·(x – y)
som successivt kan utvecklas och förenklas till:
(-1)· x – (-1)·y
– x – (- y)
– x + y
y – x
Det är därför som y – x kan skrivas som – (x – y) .
Vi har bara brutit ut faktorn (-1).
Skönt, nu var det sagt.