2
svar
88
visningar
Fokus och styrlinje
Hej!
Jag satte in en ekvation i photomath och är väldigt förvirrad över hur den fick svaret den fick. 
I det vänstra ledet så blir det -5x medan det i högra blir +5x. Hur fungerar detta? Ska inte båda vara +5x eftersom att de multipliceras med samma värde?
Jan Ragnar skrev:
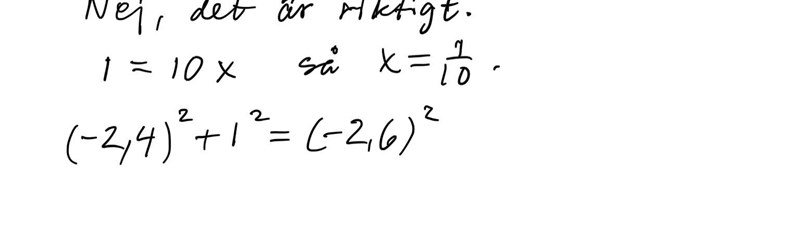
Förlåt men jag förstår fortfarande inte riktigt hur det stämmer.
