7 svar
293 visningar
Päivi behöver inte mer hjälp
Päivi 5547 – Avstängd
Postad: 19 nov 2017 03:24

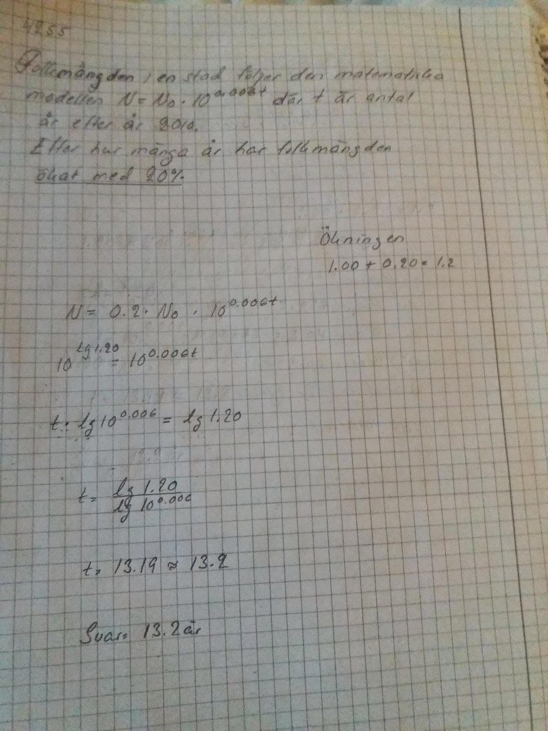
Folkmängden

tomast80 4299
Postad: 19 nov 2017 05:43

Ökning med 20 % innebär att vi söker t t så att:

N(t)=N(0)+0,2·N(0)=1,2·N(0) N(t) = N(0)+0,2\cdot N(0) = 1,2\cdot N(0)

Päivi 5547 – Avstängd
Postad: 19 nov 2017 06:25

Yngve 42667
Postad: 19 nov 2017 09:23

Rätt svar men jag har två kommentarer:

1. Det är inte tydligt hur du kommer från 1,2 = 10^(0,006t) till lg(1,2)/lg(10^0,006) = t

2. Du skrev t = 13,19 men även det är ett närmevärde och du bör alltså använda tecknet ungefär lika med.

Päivi 5547 – Avstängd
Postad: 19 nov 2017 09:30

Päivi 5547 – Avstängd
Postad: 19 nov 2017 09:30 Redigerad: 19 nov 2017 09:31

Är det bra nu, Yngve?

Det finns ca likhets tecken på kortet.

tomast80 4299
Postad: 19 nov 2017 09:47

Eftersom det gäller generellt att:

lg10x=x \lg 10^x = x

vore det snyggt att göra följande förenkling i beräkningen:

lg100,006=0,006 \lg 10^{0,006} = 0,006

Yngve 42667
Postad: 19 nov 2017 09:59 Redigerad: 19 nov 2017 10:00
Päivi skrev :

Är det bra nu, Yngve?

Det finns ca likhets tecken på kortet.

Nja det blev ännu otydligare.

Nu framgår det inte alls hur du kommer från rad 1 till rad 2 (blåa frågetecken) och från rad 2 till rad 3 (röda frågetecken).

Det jag egentligen ville att du skulle förtydliga var åtminstone några av följande mellansteg (om det nu var så du tänkte):

1,2 = 10^(0,006t)

1,2 = 10^(0,006*t)

Potenslag a^(b*c) = (a^b)^c i HL:

1,2 = (10^0,006)^t

Logaritmera:

lg(1,2) = lg((10^0,006)^t)

Logaritmlag lg(a^b) = b*lg(a) i HL:

 lg(1,2) = t*lg(10^0,006)

Dividera med lg(10^0,006):

lg(1,2)/lg(10^0,006) = t

----------

Om närmevärdet: Jag ser inte vad det blåmarkerade är för tecken. Det ska vara ett ungefär lika med-tecken eftersom 13,19 är ett närmevärde.

Svara
Close