För de spetsiga vinklarna gäller att.


Uppgift 435.
Förra uppgift står det så här. Visar bild på allt.
Det står att du skall använda formlerna från förra uppgiften, d v s respektive . Du vet också vilka värden tan A, tan B respektive tan C har (och att vinklarna är spetsiga, så alla sinus-och cosinusvärden "bakom" tangensvärdena är positiva).
Börja med den första formeln och sätt att u = A, v = B. Vilket värde får du för tan (A+B) när du sätter inde kända tangens-värdena?
Använd sedan den andra formeln och sätt u = (A+B) och v = C. Vilket värde får du för tan (A+B-C) när du sätter inde kända tangens-värdena?
Eftersom tan = sin/ cos
måste det vara att A = 3/4 i det här fallet.
Nej A är inte lika med 3/4, det är tan(A) som är lika med 3/4. Följ smaragdalenas förslag, det gäller att
så från detta kan du beräkna vad tan(A + B) är. Steget efter detta är att använda att
Nu glömde jag av att skriva tan A som är lika med 3/4, vilket betyder i det här fallet att sin (u) = 3 och cos (u) = 4. De där tillsammans bildar tangens om de divideras ihop alltså 3/4= tan A. Det är så jag menar.
Tangens (A +B )= 3/4 + 1/2, menar ni så?
Jag får
tan (A+B)= 5/4, när de räknas ihop.
Päivi skrev :Jag får
tan (A+B)= 5/4, när de räknas ihop.
Nej.
tan(A) = 3/4
tan(B) = 1/2
Vad får dig att tro att tan(A+B) = 3/4 + 1/2?
Som Smaragdalena skrev i sitt första svar ska du använda additionsformeln för tangens, som du har lärt dig från den tidigare uppgiften:

och från uppgiften igår, där du fick en färdig lösning av Albiki.
Då förstår jag.
Då ska jag fixa det.
Päivi skrev :Nu glömde jag av att skriva tan A som är lika med 3/4, vilket betyder i det här fallet att sin (u) = 3 och cos (u) = 4. De där tillsammans bildar tangens om de divideras ihop alltså 3/4= tan A. Det är så jag menar.
Det här är ren rappakalja - visst minns du att sin v (liksom cos v) alltid ligger mellan -1 och +1, så sin nånting kan aldrig vara lika med 3 (lika lite som cos nån´ting kan vara lika med 4).
Sin och cos måste vara under 1 eller så kan det vara större än -1.
Nu menar jag så eftersom det här handlar om tangens.
Tan = sin/cos, då måste det skrivas så, alltså tangens A= 0.75
tangens B = 0.5 om man skriver det i decimal form som betyder samma sak fast det andra är gjord i bråkform.
Ja. Att tangens för en vinkel v är 3/4 betyder endast att sin(v)/cos(v) = 3/4.
Dvs förhållandet mellan sin(v) och cos(v) är 3/4, vilket vi kan skriva som 4*sin(v) = 3*cos(v).
Det kan till exempel vara så att sin(v) = 0,6.
I så fall är cos(v) = (4/3)*0,6 = 0,8.
Sin v * 3, inte med 4, eftersom tangens var v var 3/4
Päivi skrev :Sin v * 3, inte med 4, eftersom tangens var v var 3/4
Vad menar du?
Skriv ut hela tankegången och alla ord, det blir så svårt att förstå annars, Päivi.
Jag måste titta på datorn samtidigt, som jag skriver från telefonen, vad jag menar. Blir det lättare och se för mig.
Du skrev att förhållandet mellan sin(v) och cos (v) är 3/4, vilket vi kan skriva som 4* sin (v)= 3 *cos (v)
borde det inte vara just tvärtom istället, eftersom vi pratar om att tangens v är 3/4, då måste det stå 3* sin (v) istället för 4* sin (v)
där är jag fundersam på.
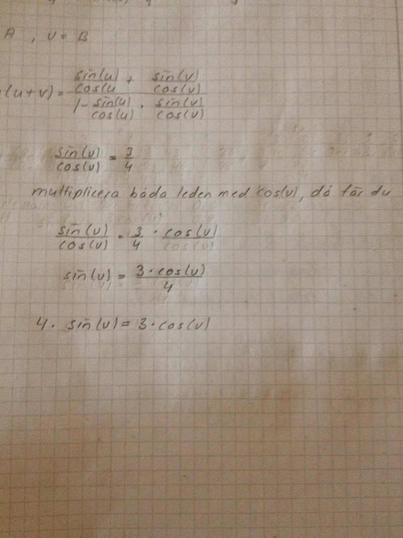
Eftersom du har att
multiplicera båda leden med , då får du
Multiplicera nu båda leden med så får du
.
Så det Yngve skrev är korrekt.
Nu begriper jag. Jag ska skriva detta ner till min block.
Nu undrar jag här igen variftån kommer
sin (v) = 0.6 helt plötsligt. Vad har ni fått den ifrån?
Det var bara ett exempel för att försöka förklara att bara för att så innebär inte det att och .
Vad menas med multiplicera med båda leden med cosinus. Räcker det inte att ena ledet är multiplicerats med cosinus.
Se bild. 

Den rödmarkerade likheten gäller inte. Det gäller att
Förenklar man detta så får man
.
Men notera att detta inte har något att göra med hur man löser själva uppgiften, detta har bara att göra med ett försök att förklara hur du tänkte fel med att skulle innebär att och .
sin /cos = tan
sin/ cos = 3/4
3skulle multipliceras med cos och sin skulle multipliceras med 4. Hur skulle båda leden multipliceras med cosinus.
Om vi har att
och multiplicera båda leden med då får vi
.
Varifrån kommer sin(v)cos(v)cos v)= 34cos ovs. Nu vill jag veta detta. Vad är frack för någonting?
Måste ha mera förklaring till detta.
Jag har redigerat inlägget, det blev fel på formateringen så inlägget såg konstigt ut, men det ska vara rätt nu.
Nu förstår jag, vad du menar Stokastisk. Det godkänner jag.
Cos måste multipliceras både i täljaren och nämnaren med vänster ledet eftersom formel säger att sin(v)cos(v) /cos (v)cos(v)= 3/4 multipliceras med 3 *cos
Du behäver inte använda dig av vare sig sinus eller cosinus i den här uppgiften. Meningen är att du skall använda formlerna i uppgift Ö 434 för att beräkna tan (A + B - C) när tan A = 3/4, tan B = 1/2 och tan C = 1/3. Sätt in rätt siffror i första formeln, räkna ut värdet för tan (A+B) och sätt in detta värde och tan C i den andra formeln och förenkla.
Varifrån kommer 1/3 att c är?
Läs uppgiftsetexten i ditt första inlägg.
Nu har det blivit så många omvägar att du har gått vilse.
Det första som står i uppgiften är tan(c) =1/3
Ja, där har vi det. Jag började koncentrera mig på 3/4 och 1/2
Jag förstår inte det här.
Du ska alltså beräkna , detta ska du göra genom att använda formeln som dom hänvisar till, dvs
Nu vet du ju vad både och är, så det är bara att sätta in det i formeln, då får man att
Så nu ska du fortsätta att förenkla detta.
Så mycket förstår jag i alla fall.
Ja, sen när du har förenklat detta så använder du resultatet till att beräkna
Så börja med att förenkla det uttryck jag skrev tidigare, sen går du vidare och försöker beräkna det här.
1/3+1/2= 5/4
1-3/4* 1/2 = 5/8
Vi har tan A i täljaren och tan A i nämnaren.
De kan vi förkorta bort. Försvinner båda med en gång.
Sedan skulle 1 multipliceras med 1/2 som är tan B . Vi har kvar 1/2 i täljaren och i nämnaren. Då blir det 1.
Svaret ska vara 1
Snart förstår jag ingenting på det här. Det har gått runt riktigt ordentligt nu.
Nej, du kan inte förkorta bort tan A i det här fallet. Tänk dig att du sstället har - då skulle du inte heller kunna förkorta bort tvåan.
Var har vi tan c som är 1/3? Den har vi inte alls med på beräkningen.
Ta det första uttrycket. Stoppa in 3/4 där det står tan A och 1/2 där det står tan B. Förenkla.Skriv här vad du får.
Päivi skrev :1/3+1/2= 5/4
1-3/4* 1/2 = 5/8
Du har slarvat lite, men jag antar att det endast är när du skrev här, första raden ska vara 3/4 + 1/2 = 5/4.
Nu har du alltså kommit fram till att
Fortsätt att förenkla HL här.
5/4 : 5/8= 5/4 * 8/5= 2
5/4 har vi i täljaren
1- 5/8= 3/8 i nämnaren.
Päivi skrev :5/4 : 5/8= 5/4 * 8/5= 2
Det här ser bra ut. Du har alltså att
Nu ska du alltså beräkna
Så du ska i HL ersätta med och med .
2+2-1/3
Menar du så?
Jag förstår inte.
Nej jag menar att där det står så ska du istället skriva och där det står ska du skriva .
2-1/3= 5/3
Ja det där var täljaren, sen är det nämnaren också.
3/4-1/2= 1/4
1-3/4*1/2= 5/8
1/4: 5/8= 2/5
Fast nu tog du helt fel värden. Täljaren är
och nämnaren är
.
Sen har du att och .
1+2/1*1/3= 5/3 nämnaren.
Täljaren 5/3
nämnaren 5/3
Japp det där stämmer. Eftersom dom är lika så är kvoten mellan dom ett och därför får man
Det där jobbig räkning. Tusen tack till detta.
Det står att du skall använda formlerna från förra uppgiften, d v s respektive . för att beräkna tan (A+B-C).
Du vet också att tan A = 3/4, tan B = 1/2 och tan C = 1/3.
Första formeln ger dig att tan (A+B) = .
Andra formeln ger att . Alltså, tan(A+B-C) = 1.