(För mig) obegriplig matrisförenkling
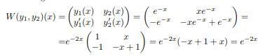
När jag löste nedanstående själv bröt jag ut och jag kan inte komma underfund med hur de fick 
Någon som förstår?
De runda parenteserna antyder matris men sammanhangetbsäger determinant och när man bryter ut faktorer ur determinanter så gör man det ju radvis/kolumnvis så iochmed att e^-x finns på två rader behöver faktorn brytas ut två gånger.
Signalfel skrev:När jag löste nedanstående själv bröt jag ut och jag kan inte komma underfund med hur de fick
Någon som förstår?
Wronskianen som du beräknar är en determinant, inte en matris. Lär dig definitionen av determinant för att förstå varför de får ;
SeriousCephalopod skrev:De runda parenteserna antyder matris men sammanhangetbsäger determinant och när man bryter ut faktorer ur determinanter så gör man det ju radvis/kolumnvis så iochmed att e^-x finns på två rader behöver faktorn brytas ut två gånger.
Tack! :)