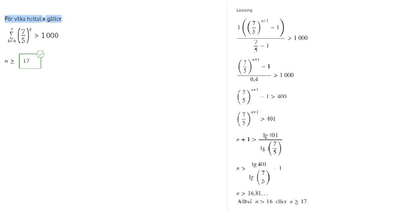
För vilka heltal n gäller

Jag löste den uppgiften och fick rätt svar men jag skrev och i facits svar är det lite annorlunda, varför i facit står det? Jag menar att varför 7/5 ä upphöjt till n+1?
Hur fick du fram 17?
och om:
Hänger du med? Du har alltså missat en term och avrundat ner vilket ger dig rätt svar.
Facit har avrundat upp vilket också ger 17.
Notera att det är fel att avrunda neråt. n = 17 stämmer inte med n > 17,81.
Det blir rätt svar bara för att du gjorde fel tidigare.
Dracaena skrev:och om:
Hänger du med? Du har alltså missat en term och avrundat ner vilket ger dig rätt svar.
Facit har avrundat upp vilket också ger 17.
Jaha, men varifrån tog du den formeln? Jag visste inte
Det är den vanliga formeln. Varifrån tog du din formel?
Laguna skrev:Det är den vanliga formeln. Varifrån tog du din formel?
Jag har inte den formeln i min formelblad, jag har bara formeln för geometrisk summa som skriven bara på ett sätt :
Eugenia skrev:Laguna skrev:Det är den vanliga formeln. Varifrån tog du din formel?
Jag har inte den formeln i min formelblad, jag har bara formeln för geometrisk summa som skriven bara på ett sätt :
![]()
"Din " formel är inte så tydlig, men den börjar summeringen med n = 1. (Man kan se detta genom att s1 = a1.) Det gör att man måste justera summan i uppgiften, eftersom den börjar summeringen med n = 0.
Ett sätt att kolla om man använder formlerna rätt är att sätta in n = 0 eller n = 1 och se att det stämmer.
Det går faktiskt att fixa till din formel. Om du kikar på ditt formelblad har du , du verkar antagit att detta är 1 men om vi läser det Smaragdalena skrev i #9:
"Din " formel är inte så tydlig, men den börjar summeringen med n = 1. (Man kan se detta genom att s1 = a1.) Det gör att man måste justera summan i uppgiften, eftersom den börjar summeringen med n = 0.
Kan vi få lite tankar kring vad vi skulle kunna tänka oss är.
Annars fungerar det att inse hur du skall justera formeln du fick i ditt formelblad eller använda den första formeln jag visade dig i #4.
Jag tycker också du ska prova göra det Laguna skrev i #10 för att få en känsla av vad det är du egentligen gör när du pillar med summor. De är väldigt enkelt att göra fel om man inte har tungan rätt i munnen! :)
Dracaena skrev:Det går faktiskt att fixa till din formel. Om du kikar på ditt formelblad har du , du verkar antagit att detta är 1 men om vi läser det Smaragdalena skrev i #9:
"Din " formel är inte så tydlig, men den börjar summeringen med n = 1. (Man kan se detta genom att s1 = a1.) Det gör att man måste justera summan i uppgiften, eftersom den börjar summeringen med n = 0.
Kan vi få lite tankar kring vad vi skulle kunna tänka oss är.
Annars fungerar det att inse hur du skall justera formeln du fick i ditt formelblad eller använda den första formeln jag visade dig i #4.
Jag tycker också du ska prova göra det Laguna skrev i #10 för att få en känsla av vad det är du egentligen gör när du pillar med summor. De är väldigt enkelt att göra fel om man inte har tungan rätt i munnen! :)
Tack så mycket för förklaringen!🙏