för vilka reella tal konvergerar funktionen? flervariabel
för vilka reella tal konvergerar funktionen
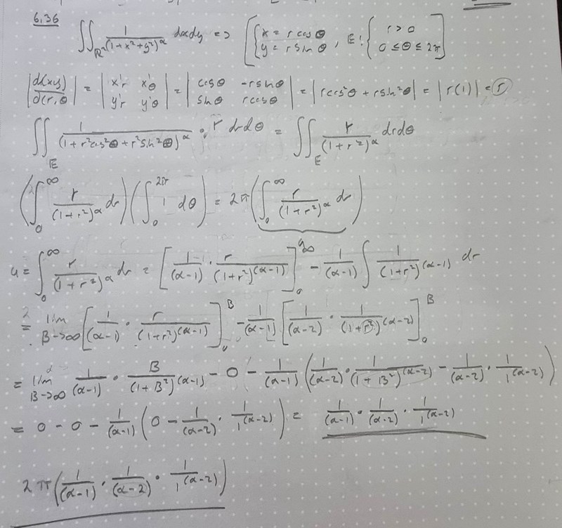
jag utförde beräkningarna såhär (vet inte om det är helt rätt men jag tror det ser bra ut?)
kom fram till stämmer det? och hur vet man liksom vilket värde man ska ta på konstanten för att funktionen ska konvergera? tänker nu när det finns två olika?
Den ser inte ut att konvergera för i alla fall.
Har ej finkollat din övergång till polära. När du kommer fram till Integranden r/(1+r2)konst, är det då partiell integration du testar? Jag föreslår att du istället sätter t=1+r2 för då får du dt=2r dr, flyttar ut 2 utanför integral så har du rdr = dt i täljaren och får integranden 1/tkonst dt som är en standardintegral. Bestäm de nya gränserna.
aa precis, jag kör en partiell integration och sen beräknar lim då B -> oändligheten. och då till slut får jag uttrycket som jag skrev innan. men om jag gör ytteligare ett variabel byte och utför beräkningen. då kommer jag ju få och det säger mig då att konst måste vara större än 1? varför inte mindre än 1?
Vad är det som blir 1/(konst-1)? Om det blir detta uttryck, så är det förstås bara konst=1 som är förbjuden, men gränsvärdesberäkningen måste redovisas. Frågan var ju för vilket/vilka värden på beta som integralen konvergerar. Hur förhåller sig beta till det som vi döpt till "konst"?
ja då får vi ju
om jag inte har gjort något slav fel haha.
men om jag tänker rätt nu så betyder det att om beta är större än 1 så kommer det ge oss ett ändligt värde som gör att funktionen konvergerar. om beta är mindre än 1 så går funktionen däremot mot oändligheten och konvergerar inte?
Inte helt lätt att följa dina räkningar, men det ser rimligt ut. Har du ngt facit att kolla mot?
svaret ska vara så antar att det blev rätt :)
Då kan vi nog betrakta det som avklarat.