5
svar
152
visningar
Päivi skrev :
Hej Päivi.
Förlåt om jag tjatar men vad vill du ha hjälp med och hur vill du ha hjälp?
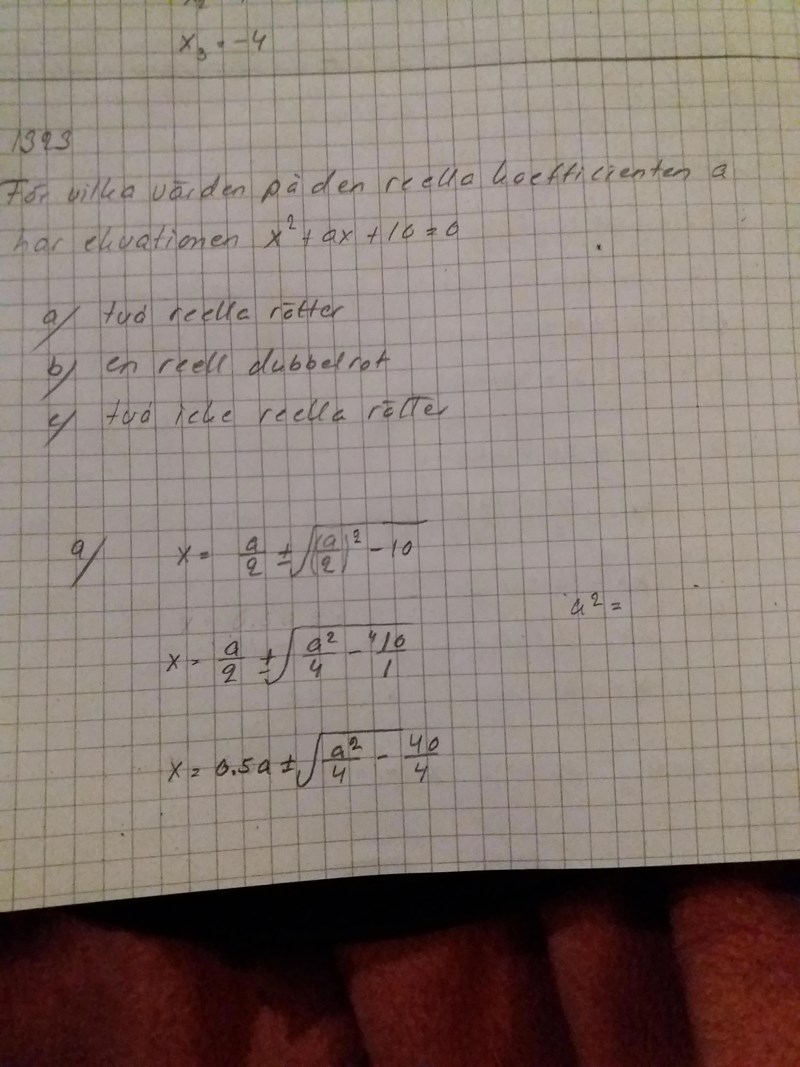
Hur ska jag gå vidare med detta? Jag har kommit en bit på vägen i alla fall
Päivi skrev :Hur ska jag gå vidare med detta? Jag har kommit en bit på vägen i alla fall
Ja det har du.
Använd samma tankegångar som i ditt tidigare problem idag.
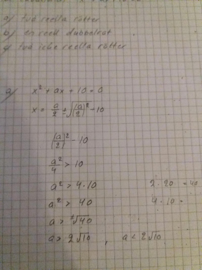
- Bestäm vad diskriminanten är i detta fallet.
- Översätt kraven på diskriminanten för fall a), b) och c) till krav på konstanten a. Det blir två olikheter och en ekvation.
----------
Det är inte relevant för uppgiften, men ändå: Du har missat ett minustecken framför a/2.
Päivi skrev :
Ja det är rätt.
---------
Det är inte relevant för uppgiften, men ändå: Du har fortfarande missat ett minustecken framför a/2.

