11 svar
328 visningar
Päivi 5547 – Avstängd
Postad: 31 jan 2018 10:25

För vilka värden uppgift 1319

Hur ska jag gå tillväga med denna uppgift? 

Vill ha ledtråd, inga frågor. 

Bubo Online 8180
Postad: 31 jan 2018 10:31

Som svar på ditt fyratusensjuhundraåttioåttonde inlägg här vill jag göra dig uppmärksam på reglerna för att skapa en tråd:

"Visa hur du har försökt"

Päivi 5547 – Avstängd
Postad: 31 jan 2018 10:43

Yngve Online 42881
Postad: 31 jan 2018 13:30
Päivi skrev :

Ledtråd: Undersök olika värden på a och avgör vilken typ av lösning som ekvationen får i de olika fallen.

Päivi 5547 – Avstängd
Postad: 31 jan 2018 13:40

Man ska alltså leta leta några värden som ger två nollställen alltså? 

Yngve Online 42881
Postad: 31 jan 2018 13:44 Redigerad: 31 jan 2018 13:44
Päivi skrev :

Man ska alltså leta leta några värden som ger två nollställen alltså? 

Ja. Leta efter något/några värden på a som ger

  • två reella rötter
  • en reell dubbelrot
  • två komplexa rötter

Försök sedan att se ett samband mellan värdet på a och vilken typ av rötter som ekvationen då har.

joculator 5203 – F.d. Moderator
Postad: 31 jan 2018 13:49 Redigerad: 31 jan 2018 13:52

Du skall få fram ALLA värden på a som ger 2 reella nollställen. Det som är intressant är diskriminanten (som du redan insett). Nu kommer en fråga i alla fall... Vad händer när diskriminanten är negativ, 0 , positiv?

Det är nästan lättare att börja med b)  om du förstår den kommer de andra att ge sig lättare.

Päivi 5547 – Avstängd
Postad: 31 jan 2018 14:09

Jag märkte inte att både Yngve och Joculator hade svarat. Nu först upptäckte jag detta.

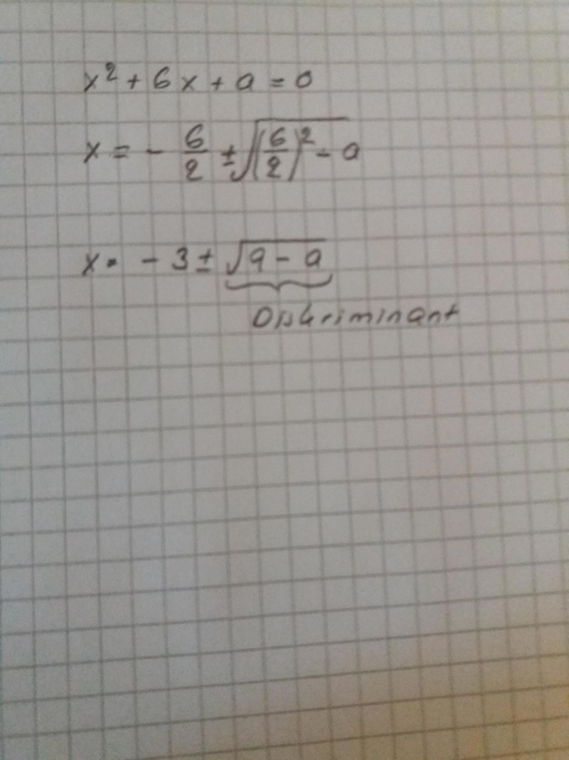
a) x^2+6x+5=0

Där har vi två nollställen.

Diskriminanten är större än noll om andragrads ekvationen har två reella rötter. 

b) x^2+ 6x + 9=0

Här har vi reell dubbelrot.

c) x^2 +6x +13=0

Då är diskriminanten mindre än noll. Det som står under rot tecknet. 

Om det ska vara dubbelrot, måste allt under rot tecknet vara noll. 

Yngve Online 42881
Postad: 31 jan 2018 14:15
Päivi skrev :

Jag märkte inte att både Yngve och Joculator hade svarat. Nu först upptäckte jag detta.

a) x^2+6x+5=0

Där har vi två nollställen.

Diskriminanten är större än noll om andragrads ekvationen har två reella rötter. 

b) x^2+ 6x + 9=0

Här har vi reell dubbelrot.

c) x^2 +6x +13=0

Då är diskriminanten mindre än noll. Det som står under rot tecknet. 

Om det ska vara dubbelrot, måste allt under rot tecknet vara noll. 

Ja det stämmer Päivi.

Du kan läsa mer om det här.

Scrolla ner till avsnittet om diskriminanten.

Päivi 5547 – Avstängd
Postad: 31 jan 2018 14:19

Ja, det ska jag göra. Detta var nytt för mig. Det här togs inte upp på B kursen, Yngve.

Päivi 5547 – Avstängd
Postad: 31 jan 2018 14:21

Tack för det här, Yngve!

Päivi 5547 – Avstängd
Postad: 31 jan 2018 14:26
joculator skrev :

Du skall få fram ALLA värden på a som ger 2 reella nollställen. Det som är intressant är diskriminanten (som du redan insett). Nu kommer en fråga i alla fall... Vad händer när diskriminanten är negativ, 0 , positiv?

Det är nästan lättare att börja med b)  om du förstår den kommer de andra att ge sig lättare.

Om diskrimanten är negativ då saknas det reella rötter. Om diskriminanten är mindre än noll, då finns det inga nollställen. 

Är diskriminsnten större än noll, då finns det två reella rötter. 

Detta är svar på din fråga till Dig Joculator.

Svara
Close