1 svar
50 visningar
esundajn behöver inte mer hjälp
esundajn 5 – Fd. Medlem
Postad: 28 apr 2020 13:00

För vilka x har funktionen värdet 5?

Hej!

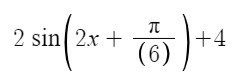
Har en uppgift där det efterfrågas 

"För vilka X har funktionen (bild) värdet 5?

 

Jag förstår inte ens vad det är dom vill att jag ska visa? Är det Df de vill ha?
Hur börjar jag? Hjälp...

parveln 703 – Fd. Medlem
Postad: 28 apr 2020 13:12

De vill att du ska hitta alla x så att ditt uttryck blir 5. Dvs lösa ekvationen 2sin(2x+pi/6)+4=5

Svara
Close