för vilket eller vilka x gäller att:
För vilket eller vilka x gäller att
Är det här verkligen Matte 2?
För att förstå vad det står i högerledet tänker jag att man bör ha kommit fram till begreppet Derivata, vanligtvis först i Matte 3.
Mn om du känner till begreppet derivata och den s.k. "h-definitionen" så kan du tolka det som står i högerledet som ett tal, vilket sedan ger dig en enkel ekvation att lösa.
Yngve skrev:Är det här verkligen Matte 2?
För att förstå vad det står i högerledet tänker jag att man bör ha kommit fram till begreppet Derivata, vanligtvis först i Matte 3.
javisst det är matte 3, men jag har publicerat den fel i matte 2
Marko skrev:
javisst det är matte 3, men jag har publicerat den fel i matte 2
OK bra då känner du kanske till derivatans "h-definition"?
Yngve skrev:Marko skrev:javisst det är matte 3, men jag har publicerat den fel i matte 2
OK bra då känner du kanske till derivatans "h-definition"?
Ja, absolut.
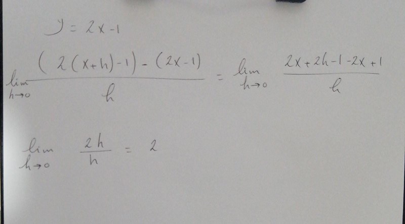
jag har kommit fram så här:
Bra, då har du kommit fram till vad högerledet har för värde.
Kvar blir en enkel ekvation att lösa.
Yngve skrev:Bra, då har du kommit fram till vad högerledet har för värde.
Kvar blir en enkel ekvation att lösa.
Vilken ekvation menar du?
Den som anges i uppgiftstexten, dvs

Yngve skrev:Den som anges i uppgiftstexten.
dvs y=2x-1
Hur ska fortsätta
Du ska lösa den här ekvationen, där du kan byta ut högerledet mot det värde du tog fram i svar #6.

Yngve skrev:Du ska lösa den här ekvationen, där du kan byta ut högerledet mot det värde du tog fram i svar #6.
Menar du så?
Nej, nu bytte du ut vänsterleder f(x) mot 2. Men det var ju högerledet du skulle byta ut.
Ekvationen blir då så här:
f(x) = 2
Yngve skrev:Nej, nu bytte du ut vänsterleder f(x) mot 2. Men det var ju högerledet du skulle byta ut.
Ekvationen blir då så här:
f(x) = 2
jaha, är detta svaret?
Nej du ska lösa ekvationen f(x) = 2, dvs ange för vilket eller vilka x denna ekvation gäller.
Du kan antingen läsa av i grafen eller så kan du använda det uttryck för f(x) som du själv tagit fram i svar #10
Yngve skrev:Nej du ska lösa ekvationen f(x) = 2, dvs ange för vilket eller vilka x denna ekvation gäller.
Du kan antingen läsa av i grafen eller så kan du använda det uttryck för f(x) som du själv tagit fram i svar #10
Nu fattar jag så x= 1,5
Ja det stämmer.
Yngve skrev:Ja det stämmer.
Stort tack Yngve!