förändringstakten av bollens area
hej jag har ett upgift:
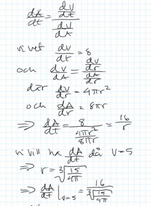
En mycket elastisk klotrund ballong blåses upp i en takt av 8 cm^3/s.
I vilken takt förändras ballongens area när den har volymen 5 cm^3 ?
Volymen av ett klot med radien r är 4πr^3/3 och arean (av skalet) är 4πr^2.
men mitt svar blir fel och förstår inte varför
Har du skrivit att ? Det stämmer inte.
jag använder ändå inte den
Då redovisar du så dåligt att det inte går att följa med i hur du resonerar.
how bout da
Är det meningen att man skall läsa från vänster till höger i första hand, eller uppifrån och ner i första hand?
behöver inte dig
Vad sa facit då?
såg att jag hadde rätt. var bara tvungen att skruva in svaret på ett vist speciellt sätt
solaris skrev:behöver inte dig
Vänligen kom ihåg att hålla en god ton i forumet. Tänk även på att universitetsstudenter är föredömen för elever som läser på lägre nivåer. /Moderator
säg det till smaragdalena. Jag har andra som klagat på att hen har dålig ton
