5
svar
192
visningar
Micimacko behöver inte mer hjälp
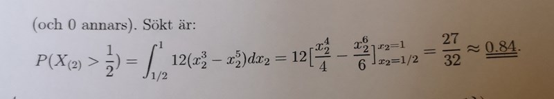
Fördelning ordningsvariabler
Varför får jag fel svar? Facit gör på ett annat sätt men tycker inte det borde spela någon roll.




Ingen som vet?
2^4 är inte 4.
Hej,
Hur får du att den gemensamma täthetsfunktionen för den ordnade slumpvektorn är just på och 0 utanför?
parveln skrev:2^4 är inte 4.
Var har jag gjort det? Hittar verkligen inte..
Hittade nu när jag räknade om, tack!
Albiki skrev:Hej,
Hur får du att den gemensamma täthetsfunktionen för den ordnade slumpvektorn är just på och 0 utanför?
Först tar jag "sannolikheten" att varje x blir som det blir, så (2x)^3, och sen gånger 3! för att så många olika utfall blir samma efter att man har sorterat dem. Facit verkar ha kommit fram till samma så tror att det är något annat som är fel.