Fördelningfunktion

Hej, har jag tänkt rätt på a?
x>0=0 eftersom
x<2=1
Om jag har tänkt rätt får ni gärna också förklara varför integralen för X>x blir 0 och integralen för X<x blir alltid 1. Jag har bara tänkt utifrån bokens exempel.
Jag har svårt att se hur du har resonerat.
Varifrån kommer t i dt?
Jag utgår från att täthetsfunktionen är lika med 0 utanför intervallet [0, 2].
Då skulle jag rita upp täthetsfunktionen och sedan lösa uppgiften geometriskt.
Prova!
Visa att arean under grafen till täthetsfunktionen är lika med 1 .
Sedan är resten enkelt...
t:et hamnade där för att läraren sa åt oss att använda allt annat än x i dx. 
Arean under kurvan är 1. Ska jag bara utgå från att täthetsfunktionen är 0 utanför intervallet eller finns det en anledning till det? Om x=-4 blir y=-1.
Täthetsfunktioner är aldrig negativa!
De är ≥ 0 överallt.
Och arean under grafen är alltid lika med 1.
Detta måste vara underförstått i texten.
f(x) är här 1 – x/2 för 0 ≤ x ≤ 2 och 0 för övrigt.
Justera din figur
Den här frågan kanske är lite otydlig men däruppe så har jag använt mig av 1-3 integraler för att bilda fördelningsfunktionen.
x>0 används en integral
0<x<2 används två integraler
x<2 används tre
Vad är anledningen till att jag använder mig av olika många integraler för olika intervaller.
Din första integral förstår jag mig inte på. Varför x och t ?
Vill du säga att F(0) = 0 ? Dvs att f(x) = 0 för x < 0 .
Den andra är också en blandning av x och t (och blir väl x –x2 till höger)
Tänkte fel! Ska vara x – x2/4 som du har skrivit
Den tredje är för mig bara en underlig blandning av uttryck.
Ska vi lösa uppgiften geometriskt först?
Så gör vi samma sak med integraler sedan
Hur ska jag lösa den geometriskt? Har vi inte gjort det redan?

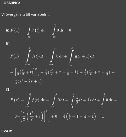
De har gjort så här i boken om det hjälper. Försökte göra något liknande.
Formellt riktigt men inte lätt att följa!
Så mycket enklare det skulle ha blivit om de börjat med
att rita grafen för täthetsfunktionen.
Här är i alla fall täthetsfunktionen tydligt skriven.
Den är uttryckligen lika med 0 utanför intervallet [-1, 1] .
Och visst – man ska bestämma F(x), fördelningsfunktionen.
Kan vi återvända till geometrin en stund.
Så vi SER lösningen
[Men det får bli i morgon]