fördelningsfuktion (dubbelintegral)
Hej,
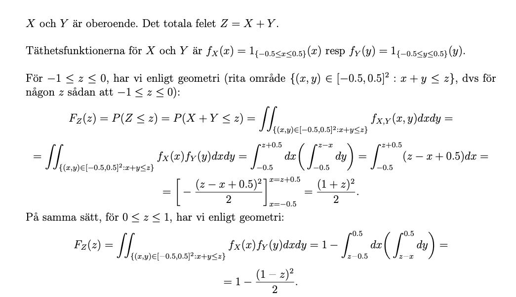
jag har svårt att förstå varför gränserna är som de är till dubbelintegralerna? Jag har ritat en 0,5x0,5 kvadrat och har markerat de områdena som gäller för -1 z 0, alltså kvadrant 2, 3 och 4 men kommer inte längre än så.


Här är en bild av integrationsområdet när z < 0
Kan du se vad z är i det här fallet?
Kan du tänka ut integrationsgränserna om
man först integrar längs x och sedan längs y.

Tillägg: 2 jan 2023 03:45
Integrerar ska det ju.
Tillägg: 2 jan 2023 09:49
Ska det ju vara ska det ju vara.
Jag tänker mig att jag ritar upp=

och lägger sedan till villkoret x+y0 = y-x
jag förstår varför man integrerar från -0.5 till 0.5 längs x och -0.5 till -x längs y men undrar hur z kommer in i gränserna??
Vi tar fallet z < 0
Vi vet att
-0,5 < x
-0,5 < y
x + y < z => x < z - y och y < z - x
Vi får
-0,5 < x < z - y men y > -0,5 => -y < 0,5 => -0,5 < x < z + 0,5
och
-0,5 < y < z - x
När z > 0 är det enklare att räkna ut P(x + y > z) (övre triangeln) och så får man P(x + y < z) = 1 - P(x + y > z)
Stort tack för hjälpen!