1
svar
122
visningar
Soderstrom behöver inte mer hjälp
Fördelningsfunktion
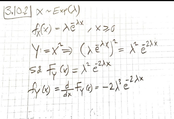
Uppgift:
Min lösning (som är fel):

Tips?
Hej,
Du får inte bara kvadrera täthetsfunktion på det där sättet.
Jag antar att du redan tagit fram fördelningsfunktionen ? I så fall kan du betrakta