Fordon med däck
Rätta mig om jag har fel, men det enda som gör att ett fordon med däck accelererar i en viss riktning är väl friktionskraften i samma riktning? Liksom att däcken greppar tag i marken.
Detta måste innebära att friktionstalet ökar ju mer bilen accelererar vilket låter mycket märkligt enligt mig. Har alltid känts som att friktionstal är konstanta för alla föremål hela tiden.
Dessutom, vad är det som bilen gör rent fysiskt när den ökar sin acceleration? Vad är det som den gör för att få större friktionstal mellan däcken och marken, och därav får större friktionskraft?
Tack.
Friktionskraften verkar bakåt, och gör att den punkt på däcket som är i kontakt med marken står stilla. Om det inte finns någon friktion, så snurrar hjulet utan att få något grepp.
Fordonet accelereras när det tillförs större kraft från motorn. F=ma => a=F/m och massan är (i stort sett *) konstant.
* Massan blir ju lite mindre när bränslet förbrukas, om vi tänker på förbränningsmotorer.
Om hjulet roterar i förhållande till vägen när du accelererar då är friktionen lägre mellan däck och vägbanan. I en dragracingbil låter man däcket rotera i förhållande till vägbanan. Syftet är att öka friktionen. Däcket värms upp blir klibbigt och fäster därmed bättre i vägbanan.
Smaragdalena skrev:Friktionskraften verkar bakåt? och gör att den punkt på däcket som är i kontakt med marken står stilla. Om det inte finns någon friktion, så snurrar hjulet utan att få något grepp.
Fordonet accelereras när det tillförs större kraft från motorn. F=ma => a=F/m och massan är (i stort sett *) konstant.
* Massan blir ju lite mindre när bränslet förbrukas, om vi tänker på förbränningsmotorer.
Verkligen? Borde inte friktionen vara åt höger på detta sätt: (däcket åker åt höger)

Hur påverkas detta av lutande plan? Låt säga att en bil åker uppför en brant backe. Är inte friktionskraften framåt då? Ta en titt på denna uppgift:

På b) fick jag fram rätt svar genom att anta att friktionen var det enda som förde bilen framåt. Denna frikton skulle agera emot x-komposanten av mg i det lutande planet. Så friktionskraften skulle vara större än mg-komposanten i motsatt riktning. Resultanten av detta skulle ge a = 1m/s^2 enligt uppgiften.
Jag formade ekvationen
friktionskraft – mg:s xkomposant = m × a
Så bilen skulle alltså öka sin acceleration i detta fall om den bara ökade på sin friktionskraft.
Som så mycket annat beror det på vad man väljer som positiv riktning.
Smaragdalena skrev:Som så mycket annat beror det på vad man väljer som positiv riktning.
Nu blir jag osäker. Syftar du på uppgiften som jag nämnde? I så fall, kan du förklara hur du menar att jag kan ställa upp det på något annat sätt?
Så här skrev jag
Jag formade ekvationen
friktionskraft – mg:s xkomposant = m × a
Okej visst, vi säger att friktionskraften uppför planet är negativ. Friktionskraften agerar ju uppför planet, och det vore intuitivt att ha den som positiv, men jag följer ditt förslag och gör den negativ:
mg:s xkomposant - friktionskraft = m x a.
Nu då? Hur hjälper detta mig att förstå något?
Hoppsan, jag fick inte med hela uppgiften i förra inlägget. Sorry

Jag behöver verkligen hjälp med detta. Jag har sökt runt på nätet och i andra forum verkar åsikterna vara delade om huruvida bilar drivs av friktionskraften.
Börja med att rita en figur och sätt ut alla krafter som verkar på bilen.
a) Nyttig effekt = Kraft * Hastighet
Verkningsgrad = Nyttig effekt / Tillförd effekt
b) Kraft = Massa * Acceleration
Friktionstal = Friktionskraft / Normalkraft
Det är bara b) jag behöver förstå.

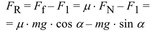
F1 är komposanten av tyngdkraften som motverkar bilens drivande kraft uppåt.
I lösningsförslaget (bilden i detta inlägg) ser vi att friktionskraften är den drivande kraften. Alltså, en bil ökar accelerationen genom att öka sin friktionskraft. Det var detta jag undrade om från början. Om bilen kör på en icke-lutande plan, undrar jag om friktionskraften även i det fallet är drivande kraft? Och dessutom, detta måste betyda att en bil kan öka sin acceleration genom att öka friktionstalet.
Tänk att utan friktion skulle bilen glida istället. Så då måste friktionen peka i motsatt riktning till rörelse om bilens hjul ska rulla.
Soderstrom skrev:Tänk att utan friktion skulle bilen glida istället. Så då måste friktionen peka i motsatt riktning till rörelse om bilens hjul ska rulla.
Nu vet jag inte vad du menar. Enligt lösningsförslaget på b) är friktionskraften i samma riktning som rörelsen!

Två spaminlägg raderade.
/Mod