6
svar
83
visningar
Päivi skrev :
Hej Päivi.
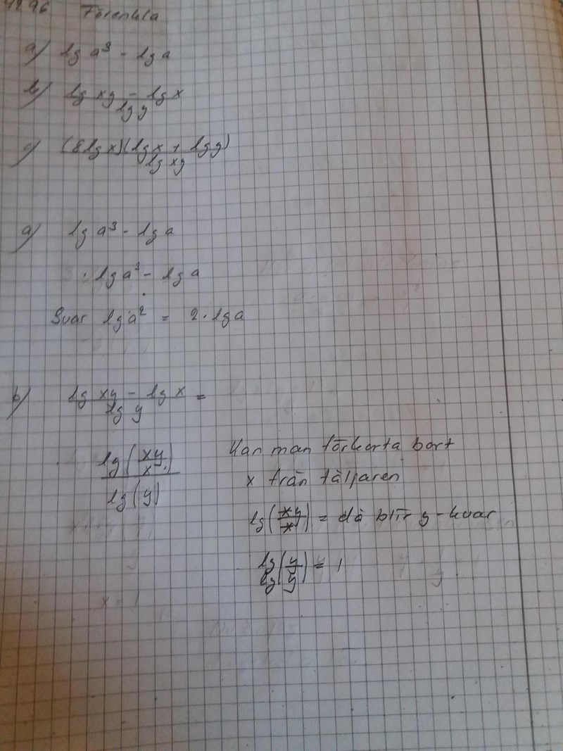
a) är rätt.
På b kan du börja med att skriva om termen lg(xy) i täljaren med hjälp av en logaritmlag.
Ja. Se dock rödmarkerad felskrivning.
Det ska vara lg(y)/lg(y) = 1 (blåmarkerad)

Tack för detta Yngve!
Har rättat till det och skrivit särskild markering. Hur man ska göra.
Jag tänkte lg(xy) - lg(x) = lg(x) + lg(y) - lg(x), men ditt sätt är lika bra Päivi.
Än så länge leder Du Yngve med ca lika med tecken.

