7
svar
241
visningar
Johanna93 behöver inte mer hjälp
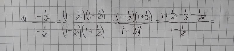
Förenkla
Hur fortsätter jag förenkla? Kommer inte vidare. Rätt svar är x^2/(x^2+1)
Du kan börja med att använda konjugatregeln på nämnaren. Det förenklar nog processen en del.
Det är ju så jag gjort?
Ursäkta, jag borde ha varit mer konkret. Man får tänka sig konjugatregeln "baklänges" och man får då:
En av dessa matchar ju täljaren väldigt bra.
Men hur kan x4 bli x2? 🤔
Jag vet inte om jag förstår frågan men om du ser i mitt inlägg med konjugatregeln så kan man göra en sådan beräkning. . Det blir så att man vill hitta "delar" i täljaren som matchar "delar" i nämnaren och det fungerar här att manipulera nämnaren för att förenkla.
Åh tack nu fattar jag! Tack snälla för hjälpen! ☺️