Förenkla
Hej!
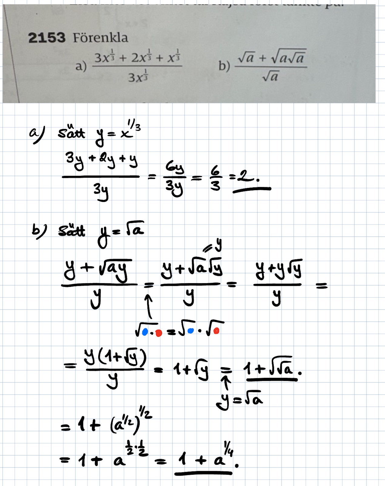
jag hade behövt hjälp med a och b uppgiften, men jag börjar med a så kanske jag kan lösa v på egen hand sedan :)
Hag vet inte riktigt var jag ska börja men här kommer en bild på en uträkning som förmodligen är felaktig, men det är i alla fall så långt jag har kommit med att försöka komma fram till en lösning:

Parentesen ska inte omfatta 5 och 3 utan bara x i täljare och nämnare, men hur blir det upphöjt till 1/2, x var ju upphöjt till 1/3 ?
Ja, det skulle vara upphöjt till 1/3, slarvfel av mig :) Ska 5 och 3 vara innan parantesen då i ett eget bråk?
Hur många x^(1/3) har du i täljaren?
oj, det var ju 6 st! inte 5. borde det inte gå att förenkla med x^1/3 i täljare och nämnare så man får 6/3 kvar =2?
vet dock fortfarande inte hur jag ska lösa uppgift b... man kanske ska skriva om den så de är i potensform?
KlmJan skrev:oj, det var ju 6 st! inte 5. borde det inte gå att förenkla med x^1/3 i täljare och nämnare så man får 6/3 kvar =2?
Just det. (3t + 2t + t) / 3t. blir 2, hur krångligt t än är.
vet dock fortfarande inte hur jag ska lösa uppgift b....
KlmJan skrev:b... man kanske ska skriva om den så de är i potensform?
Låter bra.

Detta är så långt jag kommer, är väldigt osäker på om det är rätt
Tack! Om jag delar upp bråket i b uppgiften så som jag löste det, tror jag att jag får:
Borde det inte bli samma svar då?
KlmJan skrev:Tack! Om jag delar upp bråket i b uppgiften så som jag löste det, tror jag att jag får:
Borde det inte bli samma svar då?
Det kan du göra,

yes, Tack snälla :)
