Förenkla
Förenkla uttrycket ((x-1)^13 +(x-1)^12)÷x.
Facit ger svaret (x-1)^12, men jag förstår inte hur man kommer fram till det svaret?
Prova att faktorisera ut (x-1)12 och se vad som händer.
(x-1)^12 = (x-1)(x-1)^11
Jag förstår inte hur det kan hjälpa mig lösa uppgiften?
Fast jag menar så här: (x-1)12(… + …).
(x-1)^12(x+1)?
När du bryter ut (x-1)12 har du x-1 kvar i första termen och 1 i den andra termen.
Så hur kan alltså (x-1)^13 +(x-1)^12)÷x bli
(x-1)^12? Det verkar omöjligt!
Henrik skrev:Så hur kan alltså (x-1)^13 +(x-1)^12)÷x bli
(x-1)^12? Det verkar omöjligt!
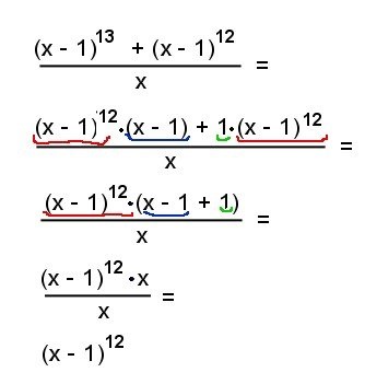
Vi sätter först t=x-1
Då är
((x-1)^13 +(x-1)^12)÷x = (t^13+t^12)/x
Bryt ut t^12
t^12(t+1)/x
Men då t=x-1 har vi
(x-1)^12(x-1+1)/x = (x-1)^12(x)/x = (x-1)^12
När du är lite mera van behöver du inte använda "t=" utan ser det automatiskt. Det är en träningsfråga.
Tack, det var väldigt svårt!
det var väldigt svårt!

Tack nu är jag nöjd med svaret!