Förenkla 3 bråk
Hej,
jag ska förenkla , och multiplicerade då alla nämnare för att kunna skriva på gemensamt bråkstreck, förlängde även täljaren. Någonstans har det smugit in något fel då jag kommer till ,me istället för att räkna om allt igen undrar jag om det finns någon metod som tar kortare tid?
Börja med att bryta ut 3 ur den första nämnaren, faktorisera den andra nämnaren enligt konjugatregeln och bryt ut 2 ur den tredje nämnaren.
Hej!
Ett förslag är att försöka hitta minsta gemensamma nämnare: Vilket jag får till 6(x-3)(x+3). Om du inte förstår detta så säg till.
Tack! Nu kommer jag hit:
Men ser ej hur jag ska fortsätta förenkla efter detta. Antar att jag ska bryta ut så jag kan förkorta, men alla variabler i täljaren är ju olika?
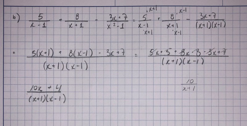
Har samma problem på nästa, där jag ska förenkla detta (första steget i uträkningen):

bubblan234 skrev:Tack! Nu kommer jag hit:
Men ser ej hur jag ska fortsätta förenkla efter detta. Antar att jag ska bryta ut så jag kan förkorta, men alla variabler i täljaren är ju olika?
Förenkla täljaren, vad får du då?