Kolla här, om något är galet.
Vad händer på fjärde raden?
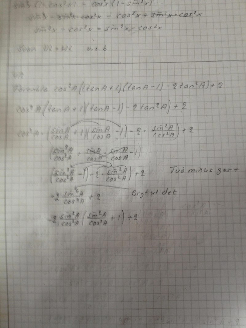
borde det väl bli efter att du har använt konjugatregeln?
Hur hamnar tvåan inom parentesen?
Hej Päivi,
Nu ser det ut som om du multiplicerat ihop två parenteser med ett minustecken emellan. Det ska bara läggas ihop. Dessutom verkar du ha lagt in 2:an på slutet inom parentesen, den ska vara utanför.
Ta bort den inre parentesen och förenkla.
Efter det kan du om du vill lösa ut (-1) från parentesen och sätta 2:an först, då får du (räkna igenom själv!)
Om du slutligen multiplicerar in och använder trigonometriska ettan får du ett väldigt kompakt svar!
Du har glömt att du har två termer av samma typ inom parentesen på samma steg jag nämnde förut:
Nu kan du multiplicera in cosinus-termen.
Det syns vad som har hänt här hos mig. Det var bra att du sa det. Jag ser att jag har glömt.
Läste du mitt svar?
Ska försöka ta det från början:
Vi ser att vi kan använda konjugatregeln:
Vi kan nu sätta in resultatet i originaluttrycket:
Vi ser att två termer i parentesen kan läggas ihop, vilket ger:
Nu kan vi multiplicera in :
Vi ser nu att cosinus-termerna i den första termen tar ut varandra, vilket ger oss:
Härifrån kan du utnyttja sambandet att
Viktigt att du inte råkar blanda med tvåan till höger utan börjar inifrån och ut! :)
Edit: Förlåt, såg inte att du hade svarat. Bra att du upptäckte felet!
Hej !
Jag ska titta på det här i morgon. Måste iväg här nu. Har lite speciellt att göra idag. Vi hörs i morgon.
Här har du två minus tecken och ett plus tecken framför 2
nu undrar jag, hur får du bort de här minus tecknen och hur får du det bli ett tillslut..
så här långt är jag med.
Se Minounderstand skriver.
Man kan kanske dividera alla termer med och multiplicera med -1
- sin^2 A / 1* -sin^2A - cos ^2A/1*cos A + 2*-1
sin^2A + cos ^2A -2
här undrar jag nu
Päivi skrev :Här har du två minus tecken och ett plus tecken framför 2
nu undrar jag, hur får du bort de här minus tecknen och hur får du det bli ett tillslut..
så här långt är jag med.
Se Minounderstand skriver.
Jag har inte läst hela tråden, bara slutet.
Om du har så kan det skrivas som .
De två första termerna har en gemensam faktor (-1) som vi då kan bryta ut:
Nu kan vi byta ut (sinkvadrat + coskvadrat) mot 1 med hjälp av trigonometriska ettan:
Päivi skrev :Man kan kanske dividera alla termer med och multiplicera med -1
Nej du kan inte multiplicera hela uttrycket med -1, då ändrar du ju uttryckets värde.
Från början har vi
- sin ^2(A) - cos^2(A) + 2
kan vi göra så här?
- sin^2(A) / -1* -sin^2(A) - cos^2(A)/ -1*-cos ^2(A)
då blir det
sin^2(A)+ cos ^2(A) + 2 *(-1)
sin^2(A) + cos ^(A) + 2 * (-1)
det blir
sin^2(A) + cos^2(A) = 1 * (-1) + 2 = -1 + 2= 1
Päivi skrev :Från början har vi
- sin ^2(A) - cos^2(A) + 2
kan vi göra så här?
- sin^2(A) / -1* -sin^2(A) - cos^2(A)/ -1*-cos ^2(A)
då blir det
sin^2(A)+ cos ^2(A) + 2 *(-1)
sin^2(A) + cos ^(A) + 2 * (-1)
det blir
sin^2(A) + cos^2(A) = 1 * (-1) + 2 = -1 + 2= 1
Jag förstår inte vad du gör.
Uttrycket består av tre termer T1 + T2 + T3:
T1 = -sin^2(A)
T2 = -cos^2(A)
T3 = 2
Det ser ut som om du dividerar första termen med (-1)*(-sin^2(A) och andra termen med (-1)*(-cos^2(A). Så kan du inte göra, då ändrar du termarnas och därmed uttryckets värde.
Du skriver inte heller vad du gör med tredje termen.
På sista raden skriver du sedan en likhet som inte stämmer:
Du skriver att sin^2(A) + cos^2(A) = 1*(-1) + 2, men sin^2(A) + cos^2(A) = 1 och ingenting annat.
Hoppas du ser det här.!
Det måste divideras först så att vi får sin och cos kvadrat till att bli trig ett, när vi hade från börjar ett minus tecken både sin och cos kvadrat och då blir det plus tecken.
På samma sätt måste vi multiplicera (-1) med trig ettan som vi fick av sin och cos kvadrat, när vi fick det bli till plus.
På samma sätt måste (-1 ) multipliceras med trig ettan. Då får vi 1* (-1) + 2
-1 + 2= 1 trig ettan
Päivi skrev :Det måste divideras först så att vi får sin och cos kvadrat till att bli trig ett, när vi hade från börjar ett minus tecken både sin och cos kvadrat och då blir det plus tecken.
Nej du måste inte dividera först för att sin- och coskvadrat ska bli trigettan.
Du kan inte dividera en term med något och en annan term med något annat. Då ändrar du uttryckets värde.
Det här är fel:

Det som står till vänster om likhetstecknet är inte identiskt med det som står till höger.
Här får du ett tips på hur du kan skriva dina uträkningar på ett sätt som gör att det hela hänger ihop och så att det blir enklare för en läsare att förstå vad du håller på med:
Om du har ett uttryck och sedan skriver ett likhetstecken och sedan en förenklad/omskriven variant av uttrycket så måste uttrycket till höger om likhetstecknet vara identiskt med det till vänster om likhetstecknet.
Om du behöver göra en förklaring/sidouträkning så kan du göra det vid sidan av eller inom krullparenteser { ... } i förenklingen.
Typ så här:
Eller så här:
Vi kallar uttrycket för B:
Vi bryter ut faktorn (-1) från de första två termerna:
Då kan vi skriva uttrycket som:
Eftersom enligt trigonometriska ettan så kan vi skriva uttrycket som:
Uttrycket kan alltså förenklas till 1
Jag hänger bra med och förstår vad du förklarar.
Vad som gick snett för mig i hela det här. Det var att jag bytte tan till sin/cos. Du vet vad jag menar.
Hur som helst har jag ändå förstått det här. Jag märkte av mina fel.
Tusen tack för allt detta!
Bygg arbetarna ska byta alla fönstren från min lägenhet i morgon. Det ska pågå antal x dagar. Jag försöker koncentrera mig i matten. Jag lägger all min tid åt den, om jag inte måste göra annat vid sidan om. Så fort jag är ledig från övriga, sysslar jag med matten.








