Du slarvar:
Du har tappat bort tvåan i de flesta av dina beräkningar, men i sista raden dyker den magiskt upp igen - fast det blev fel på parenteserna antingen på den sista raden eller i själva uppgiften.
...men när du rättar slarvfelen blir det lätt att avsluta! :-)
Uppgiften är det inget fel på.
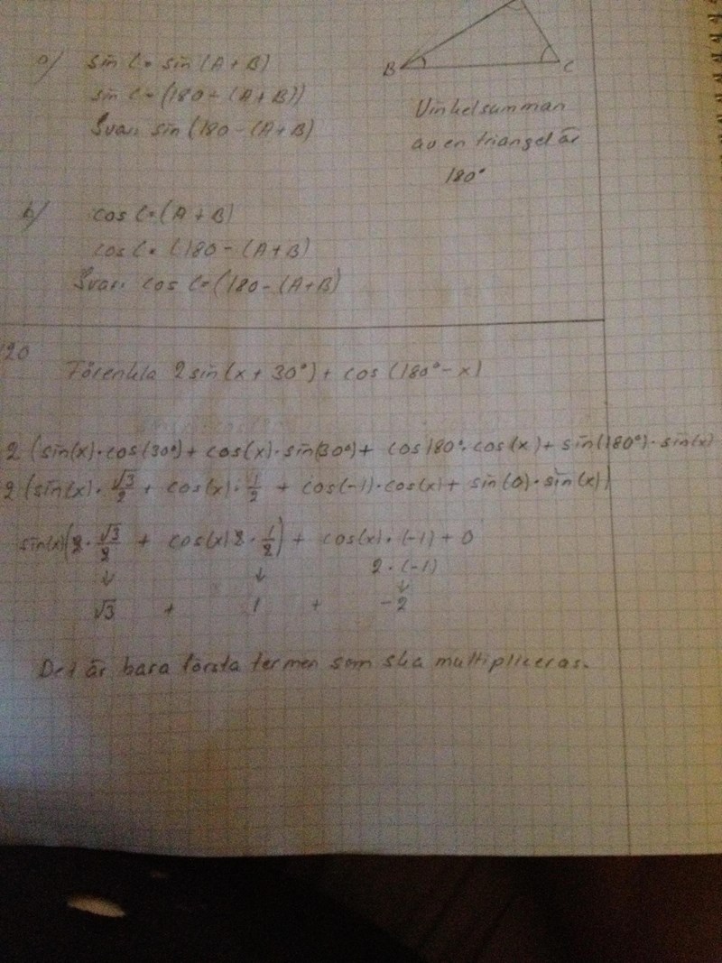
Jag blir osäker på den här uppgiften eftersom det står helt plötsligt 2 sin(x) ovs.
Att multiplicera något med två är väl inte konstigt?!
Är detta riktigt?
Om det inte är fel på hur du skrivit uppgiften så är det endast den första termen sin(x + 30°) som ska multipliceras med 2. Då blir det förenklade uttrycket litet och snyggt.
Men på sista raden multiplicerar du hela uttrycket (båda termerna) med 2.
Svaret ska bli roten 3 sin(x)
Päivi skrev :
Nej du har tappat bort en term (cos(x)*sin(30°)) när du använde additionsformeln. Jämför med din trådstart, där gjorde du rätt.
Jag har ju multiplicerat med två. Ser du inte det?
Jag tror att jag ser felet. Jag ska göra nytt försök här. Återkommer snart.
Päivi skrev :Jag har ju multiplicerat med två. Ser du inte det?
Jo. Men du har ändå tappat bort termen cos(x)*sin(30°). Jämför med din trådstart, där gjorde du rätt.
Jag ska skriva på nytt allt. Jag visar upp det snart.
Du slarvar. Mycket.
- Det är endast första termen som ska multipliceras med 2. Det har jag påpekat uttryckligen tidigare. Jag har lagt till gröna parenteser för att tydliggöra detta.
- Du har bytt ut cos(180) mot cos(-1) istället för mot -1 (röd markering). cos(-1) är något helt annat än -1. Men sedan byter du ut cos(-1) mot -1 på raden under.
- Du har bytt ut sin(180) mot sin(0) istället för mot 0 (blå markering).
- Du tappar bort faktorn sin(x) när du multiplicerar in tvåan med första termen i parentesen (gul markering).
- Du tappar bort faktorn cos(x) på två ställen mellan näst sista och sista raden (magenta och vit markering).

Menar du så här. Jag har multiplicerat med två och förkortat bort 2
Du har skrivit jättemycket konstigt på vägen, till exempel har du en tvåa för mycket innanför parentesen (som sen bara försvinner), men rotenur(3) * sin(x) är rätt.
Vad blev det av de andra termerna?
Första termen fick jag roten ur 3* sin(x)
andra termen fick jag 1* cos(x)
tredje termen fick jag cos(x)* (-2)
allt detta är multiplicerade med 2
Päivi skrev :Första termen fick jag roten ur 3* sin(x)
andra termen fick jag 1* cos(x)
tredje termen fick jag cos(x)* (-2)
allt detta är multiplicerade med 2
Nej det kan inte stämma.
Då skulle ditt resultat ha blivit
Men det var inte alls det du fick fram, eller hur?
Jag måste fråga dig en sak Päivi: Är det kanske så att du egentligen gör alla beräkningar i huvudet och sen bara skriver ner stegen som du minns dem fram till resultatet?
Annars förstår jag inte hur det kan vara så att du så ofta får fram rätt slutresultat trots att dina uträkningar innehåller många fel, och framför allt hur det kan vara så att felen ofta "tar ut" varandra så att det ändå blir rätt resultat på slutet.
Av det som du visar nu, så har du tvåan för mycket där.
Tvåan ska bort som är utanför parentesen. Tvåan är redan multiplicerade med parentesen. Den ska inte multipliceras flera gånger.
Enkla räkningar räknar jag i huvudet. Kan stort sett skriva med en gång vad det blir. Annars räknar jag det i pappret.
Du slarvar med parenteserna. Det blir
Då förstår jag. Jag är inte säker på mitt sätt att skriva
Jag är inte van skriva riktigt sådant här. Att jag kan få rätt resultat är en sak, men att kunna visa upp resultatet är en annan sak hur jag bär mig åt. Det är sådant här som jag måste lära mig.
Jag gissar att du främst behöver dela upp stora uppgifter i mindre.
sin(v+30) kan du ju räkna ut.
Två gånger det klarar du också.
Du kan också räkna ut cos(180-v) och därefter lägga ihop de två delresultaten. Klart!
Gör gärna den här uppgiften igen och följ min arbetsgång. Blir det klarare då?
Cos (180 - v) kan man även förenkla m h a enhetscirkeln, om man tycke det är enklare än subtraktionssatsen.
cos (180 - v) = - cos v.
Jag fick inte med allt som jag ville av någon anledning. Jag ville visa, hur jag räknar fram detta. Har tagit foton från dator, vad jag har skrivit.
Sedan ska allt sättas ihop bara.
Jag tänkte sätta ihop allt, men det gick inte.
Det är något galet med datorn.
Tack för hjälpen.
Hej Päivi!
Istället för att föra långa pedagogiska diskussioner med dig visar jag hur du kan skriva för att förenkla det trigonometriska uttrycket.
.
Albiki
Det var bättre alternativ Albiki!
tack så mycket för detta!
Om du hade gjort som jag sade, i stället för att skriva fyra inlägg utan något nytt, så hade du själv skrivit samma som Albiki.
Jag frågade:
1) Vad är sin(x+30)? och svaret är sqrt(3)/2 * sin(x) + 1/2 * cos(x). Det vet du, för du har redan räknat ut det.
2) Vad är två gånger det? och svaret är sqrt(3) * sin(x) + cos(x). Det vet du, för du har redan räknat ut det.
3) Vad är cos(180-x)? och svaret är -cos(x). Det vet du, för du har redan räknat ut det.
4) Lägg ihop. sqrt(3) * sin(x) + cos(x) - cos(x) = sqrt(3) * sin(x)
EDIT: Korrigerat en blandning av x och v





