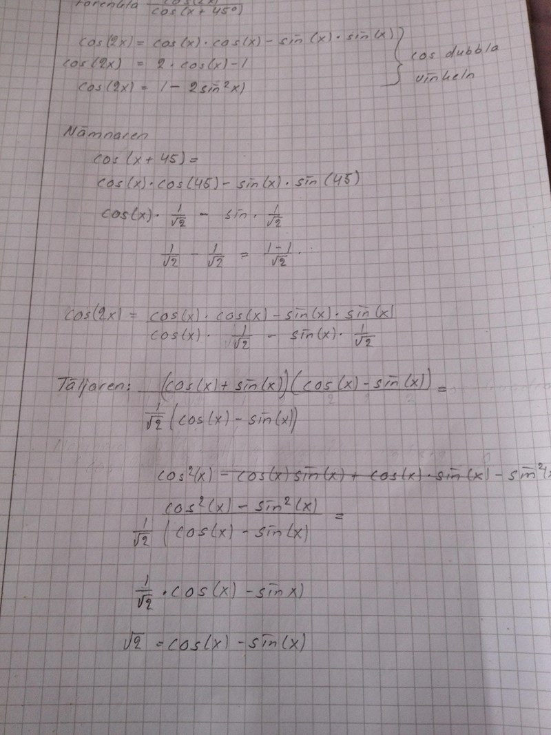
Använd konjugatregeln på täljaren och bryt ut ur nämnaren.
Nu är jag inte Yngve, men nej det är inte riktigt, utan om du bryter ut i nämnaren så får du
Är täljaren riktigt?
Det ser bra ut med
Notera nu att du har både i täljare och nämnare, så förkorta bort detta!
Ok, det ska jag göra. Jag ska till affären nu och sedan fortsätter jag med matten. Ska posta ett brev.
Eftersom vi i denna uppgift inte vet vad x har för värde så måste vi förutsätta att x kan ha vilket värde som helst.
Det betyder att vi måste hantera fallet att uttrycket cos(x) - sin(x) = 0. Om det är så så är uttrycket odefinierat eftersom vi hamnar i en "division med noll"-situation.
När du förkortar bort faktorn cos(x) - sin(x) så "försvinner" informationen om att uttrycket kan vara odefinierat. Därför måste du notera det separat och i ditt svar skriva något liknande detta:
"Svar: Uttrycket kan förenklas till <det förenklade uttrycket>", förutom då x = <de värden som gör uttrycket odefinierat> eftersom uttrycket då är odefinierat."
Jag ska skriva om detta.
Jag kommer snart skriva om detta. Jag kom nyss hem.
Nu kanske jag förvirrar dig lite, om så är fallet så rekommenderar jag att du fortsätter på det spår du höll på med, men man kan göra förenklingen på ett lite mer subtilt sätt och det är att använda att
och sedan använda använda formeln för dubbla vinkeln för sinus.
Jag kommer nog skriva ner det med. Man kan se det från 0 till 45 och från 45 grader.
Hur som helst kommer jag skriva det här. Detta är bra tips ändå.

