1 svar
85 visningar
Rasmusk behöver inte mer hjälp
Rasmusk 23 – Fd. Medlem
Postad: 19 aug 2020 18:06

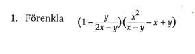
Förenkla

Ska försöka förenkla denna uppgift 
Har kommit så långt att jag förenklat vänstra parentesen till (x-2y)/x-y och den högra till (2xy-y^2/x-y). För det första har jag förenklat rätt och för det andra multiplicerar jag bara ihop täljarna och sen är färdig eller vart ska jag fortsätta? 

Laguna 32135
Postad: 19 aug 2020 18:22

Jag antar att du menar (x-2y)/(x-y) fast du skriver något annat. Det är fel.

(2xy-y^2)/(x-y) är rätt.

Svara
Close