2
svar
42
visningar
mattegeni1 behöver inte mer hjälp
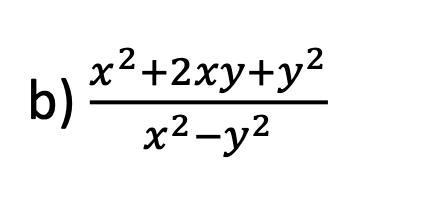
Förenkla

nämnaren blir (x-y)(x+y) men jag förstår inte hur jag ska göra med täljare? (x+1xy)^2+y^2+1xy^2 går ju inte Direkt ?
Tips: Använd kvadreringsregeln "baklänges".
Moffen skrev:Tips: Använd kvadreringsregeln "baklänges".
aha ok jag försökte med kvadratkomplettering istället